Официальное опубликование правовых актов
ОФИЦИАЛЬНОЕ ОПУБЛИКОВАНИЕ
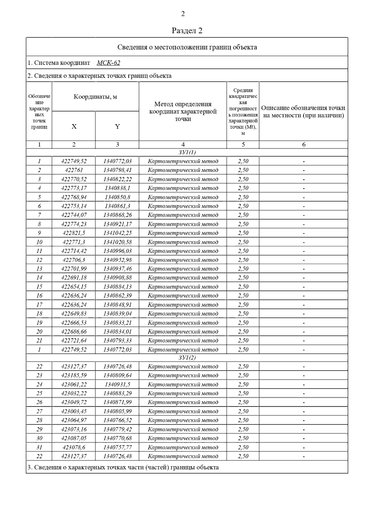
Постановление Главного управления архитектуры и градостроительства Рязанской области от 31.01.2025 № 87-п
"Об утверждении изменений в правила землепользования и застройки муниципального образования - Искровское сельское поселение Рязанского муниципального района Рязанской области"
(Зарегистрирован 03.02.2025 № 135)
Номер опубликования: 6201202502050006
Дата опубликования: 05.02.2025
Страница №8 из 9:
Увеличить