Официальное опубликование правовых актов
ОФИЦИАЛЬНОЕ ОПУБЛИКОВАНИЕ
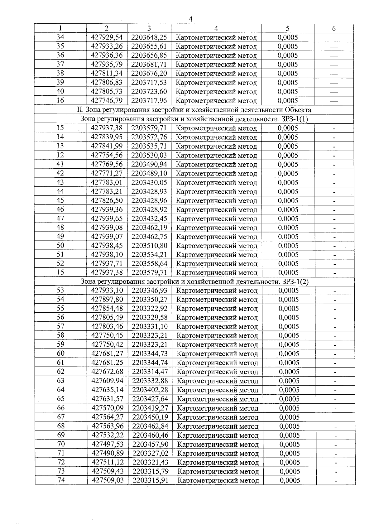
Постановление Правительства Московской области от 12.03.2025 № 229-ПП
"Об установлении зон охраны объекта культурного наследия регионального значения "Скит Серафимо-Знаменский, 1912 г.: церковь иконы Божией Матери "Знамение" и преподобного Серафима Саровского; кельи первого типа; кельи второго типа; келья св. апостола Фомы, 1912 г.; келья св. апостола Симона, 1912 г.; келья св. апостола Иуды Иаковлева, 1912 г.; келья св. апостола и евангелиста Иоанна, 1912 г.; келья св. апостола Иакова Зевдеева, 1912 г.; келья св. апостола Варфоломея, 1912 г.", расположенного по адресу: Московская область, городской округ Домодедово, село Битягово, территория Серафимо-Знаменского скита, строения 1, 4, 6, 5, 8, и об утверждении требований к градостроительным регламентам в границах территорий данных зон"
Номер опубликования: 5000202503130001
Дата опубликования: 13.03.2025
Страница №23 из 33:
Увеличить