Официальное опубликование правовых актов
ОФИЦИАЛЬНОЕ ОПУБЛИКОВАНИЕ
Постановление Правительства Севастополя от 18.06.2020 № 284-ПП
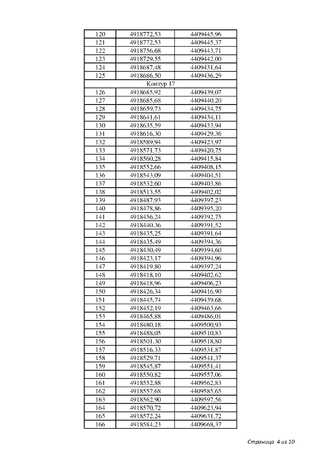
"О внесении изменений в постановление Правительства Севастополя от 06.12.2018 № 812-ПП "Об утверждении градостроительной документации по проекту планировки и проекту межевания территории линейного объекта "Газификация сел Байдарской долины, село Колхозное (высокое давление)" в Орлиновском муниципальном округе"
Номер опубликования: 9200202006250024
Дата опубликования: 25.06.2020
Страница №14 из 24:
Увеличить