Приказ Министерства культуры Республики Крым от 17.10.2025 № 640-ОКН
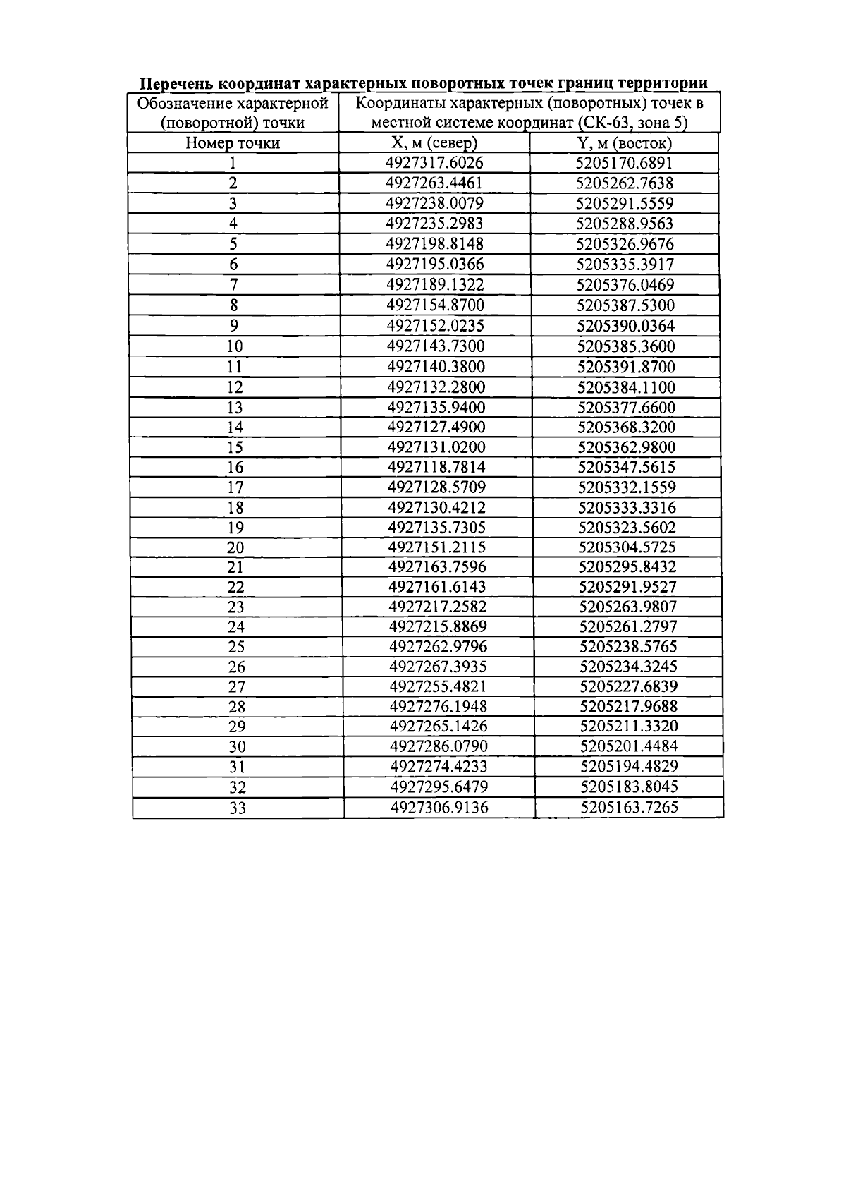
"Об утверждении границ территории, режимов использования земель в границах территории объекта культурного наследия регионального значения "Памятник В.И. Ленину (скульпторы Н.А. Щербаков, А.Т. Полянский, архитектор М.Ф. Синев)", 1975 - 1979 годы, расположенного по адресу: Республика Крым, городской округ Ялта, пгт Гурзуф, ФГБОУ "МДЦ "Артек"
(Зарегистрирован 22.10.2025 № 2848)
"Об утверждении границ территории, режимов использования земель в границах территории объекта культурного наследия регионального значения "Памятник В.И. Ленину (скульпторы Н.А. Щербаков, А.Т. Полянский, архитектор М.Ф. Синев)", 1975 - 1979 годы, расположенного по адресу: Республика Крым, городской округ Ялта, пгт Гурзуф, ФГБОУ "МДЦ "Артек"
(Зарегистрирован 22.10.2025 № 2848)
Номер опубликования: 9101202510230005
Дата опубликования:
23.10.2025
