Официальное опубликование правовых актов
ОФИЦИАЛЬНОЕ ОПУБЛИКОВАНИЕ
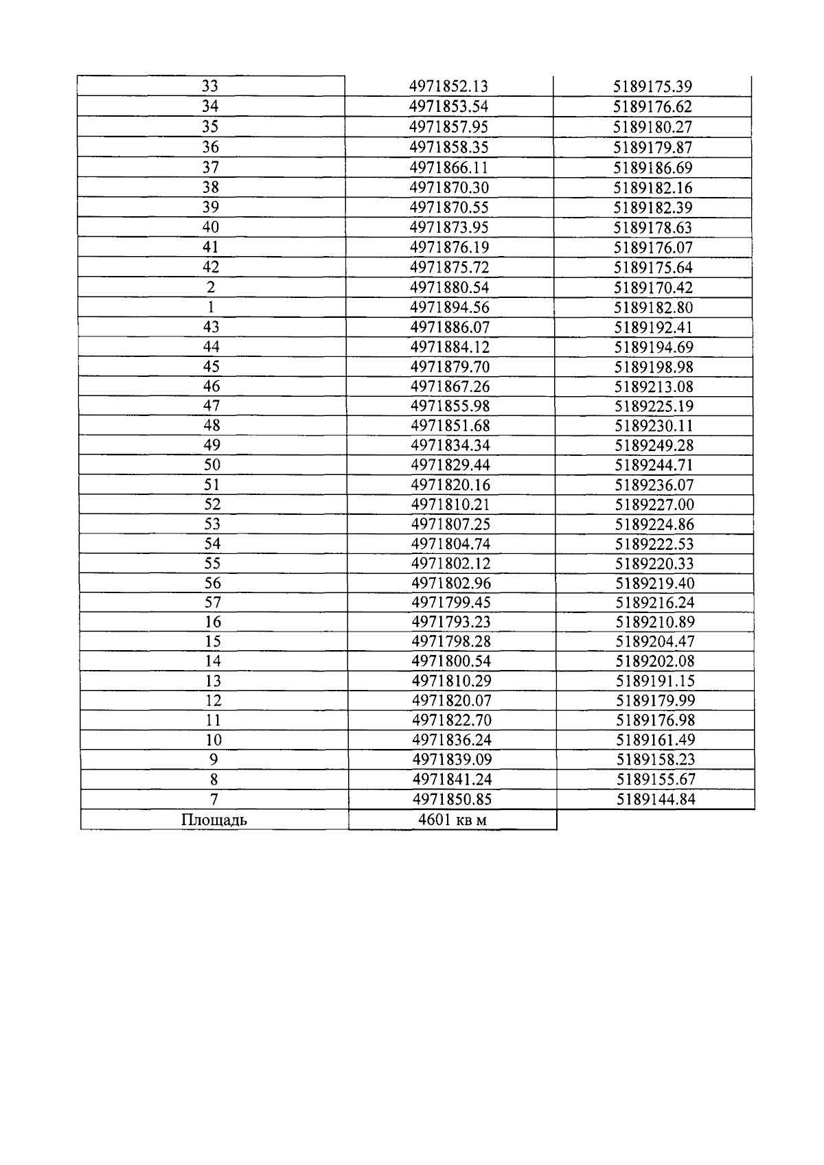
Приказ Министерства культуры Республики Крым от 05.06.2025 № 321-ОКН
"Об утверждении границ зон охраны, режимов использования земель и требований к градостроительным регламентам в границах зон охраны объекта культурного наследия регионального значения "Дом, в котором жил Л.Н. Толстой", начало XIX века, расположенного по адресу: Республика Крым, г. Симферополь, ул. Толстого, 4"
(Зарегистрирован 18.06.2025 № 2490)
Номер опубликования: 9101202506190010
Дата опубликования: 19.06.2025
Страница №7 из 12:
Увеличить