Официальное опубликование правовых актов
ОФИЦИАЛЬНОЕ ОПУБЛИКОВАНИЕ
Приказ Министерства культуры Республики Крым от 26.03.2024 № 107-ОКН
"Об утверждении границ объединенной зоны охраны, режимов использования земель и требований к градостроительным регламентам в границах объединенной зоны охраны объектов культурного наследия: федерального значения "Археологический комплекс "Неаполь Скифский", IX век до н.э. - IV век, расположенного по адресу: Республика Крым, г. Симферополь, ул. Археологическая, ул. Батаева; регионального значения "Братская могила советских воинов", 1944 год, расположенного по адресу: Республика Крым, г. Симферополь, ул. Беспалова, Петровское кладбище; "Братская могила советских воинов", 1944 год, расположенного по адресу: Республика Крым, г. Симферополь, ул. Беспалова, Петровское кладбище; "Могилы рядовых М.А. Опрышко и М.Е. Шевердеева", 1944 год, расположенного по адресу: Республика Крым, г. Симферополь, ул. Беспалова, Петровское кладбище"
(Зарегистрирован 29.03.2024 № 1321)
Номер опубликования: 9101202404020012
Дата опубликования: 02.04.2024
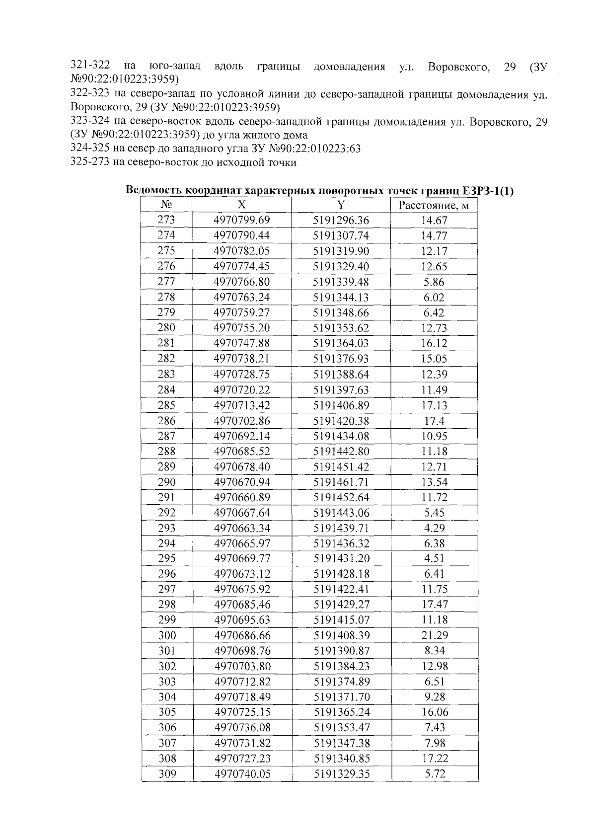
Страница №22 из 71:
Увеличить