Официальное опубликование правовых актов
ОФИЦИАЛЬНОЕ ОПУБЛИКОВАНИЕ
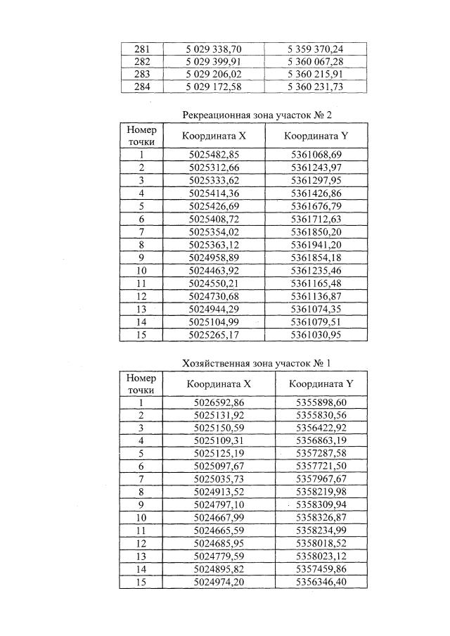
Постановление Совета министров Республики Крым от 12.02.2021 № 81
"О внесении изменений в постановление Совета министров Республики Крым от 21 июня 2016 года № 269"
Номер опубликования: 9100202102180002
Дата опубликования: 18.02.2021
Страница №68 из 126:
Увеличить