Приказ Департамента государственного жилищного надзора Ямало-Ненецкого автономного округа от 25.09.2025 № 62-ОД
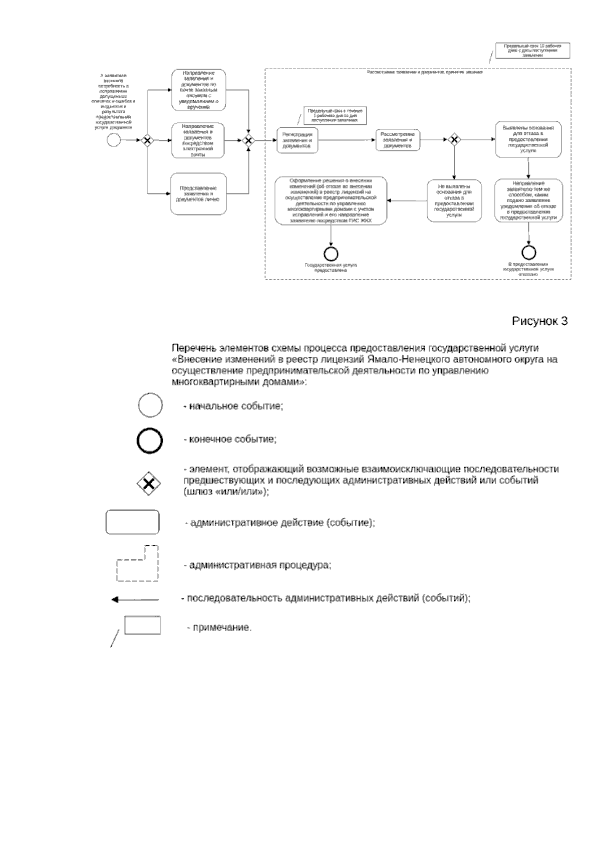
"Об утверждении Административного регламента департамента государственного жилищного надзора Ямало-Ненецкого автономного округа по предоставлению государственной услуги "Внесение изменений в реестр лицензий Ямало-Ненецкого автономного округа на осуществление предпринимательской деятельности по управлению многоквартирными домами"
(Зарегистрирован 26.09.2025 № 295)
"Об утверждении Административного регламента департамента государственного жилищного надзора Ямало-Ненецкого автономного округа по предоставлению государственной услуги "Внесение изменений в реестр лицензий Ямало-Ненецкого автономного округа на осуществление предпринимательской деятельности по управлению многоквартирными домами"
(Зарегистрирован 26.09.2025 № 295)
Номер опубликования: 8901202509260001
Дата опубликования:
26.09.2025
