Официальное опубликование правовых актов
ОФИЦИАЛЬНОЕ ОПУБЛИКОВАНИЕ
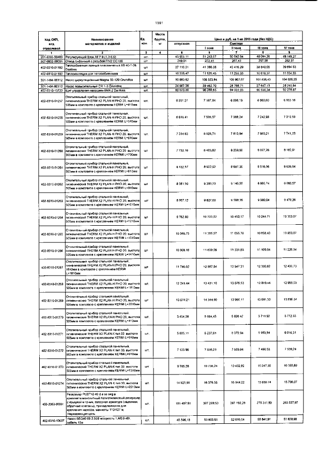
Постановление Правительства Ямало-Ненецкого автономного округа от 12.03.2015 № 219-П
"Об утверждении предельно допустимых индексов изменения сметной стоимости строительных, монтажных и ремонтно-строительных работ и номенклатурного сборника предельных отпускных и сметных цен на строительные материалы, изделия, конструкции на I квартал 2015 года"
Номер опубликования: 8900201503180032
Дата опубликования: 18.03.2015
Страница №1608 из 1669:
Увеличить