Официальное опубликование правовых актов
ОФИЦИАЛЬНОЕ ОПУБЛИКОВАНИЕ
Приказ Департамента социального развития Ханты-Мансийского автономного округа - Югры от 20.01.2026 № 6-нп
"Об утверждении административного регламента предоставления государственной услуги "Оказание (предоставление) государственной социальной помощи без заключения социального контракта"
(Зарегистрирован 10.02.2026 № 8658)
Номер опубликования: 8601202602120003
Дата опубликования: 12.02.2026
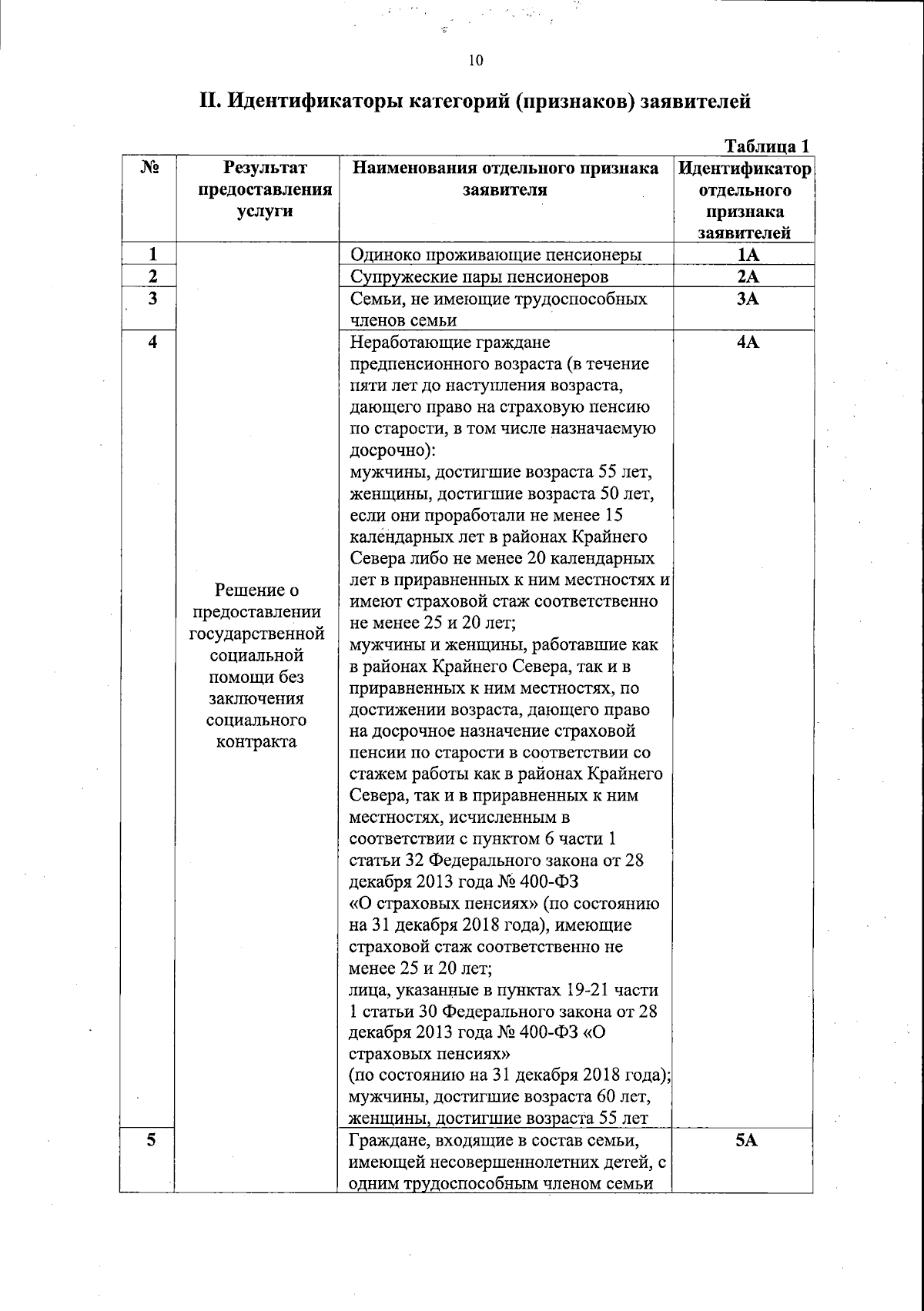
Страница №10 из 17:
Увеличить