Официальное опубликование правовых актов
ОФИЦИАЛЬНОЕ ОПУБЛИКОВАНИЕ
Постановление Губернатора Ханты-Мансийского автономного округа - Югры от 14.07.2020 № 93
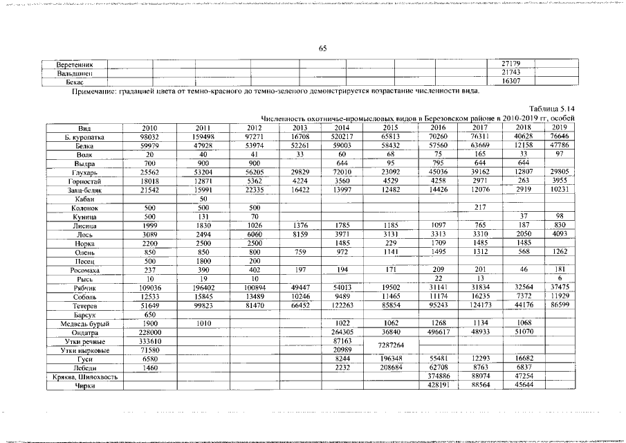
"О внесении изменений в приложение к постановлению Губернатора Ханты-Мансийского автономного округа — Югры от 24 июня 2013 года № 84 "О схеме размещения, использования и охраны охотничьих угодий на территории Ханты-Мансийского автономного округа — Югры"
Номер опубликования: 8600202007170012
Дата опубликования: 17.07.2020
Страница №65 из 313:
Увеличить