Официальное опубликование правовых актов
ОФИЦИАЛЬНОЕ ОПУБЛИКОВАНИЕ
Постановление Правительства Донецкой Народной Республики от 19.12.2024 № 135-10
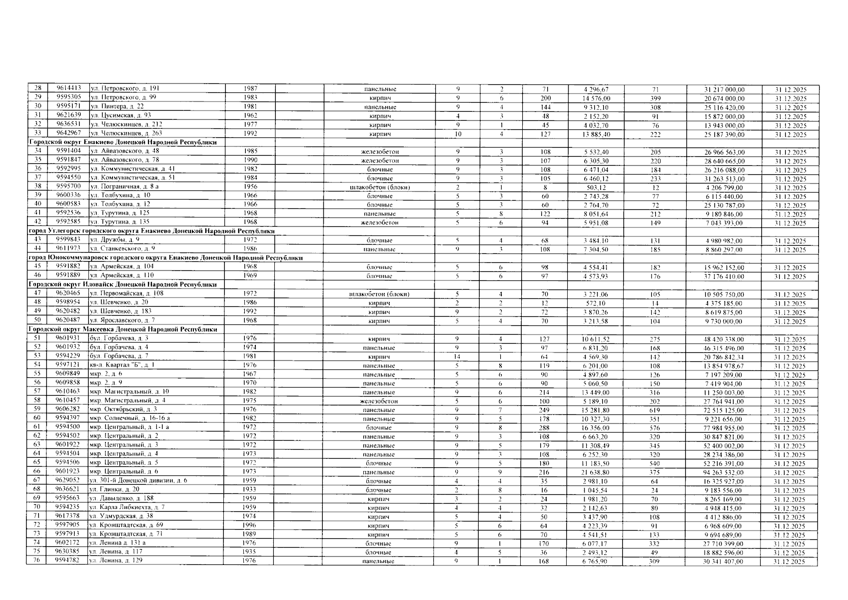
"О внесении изменений в Региональную адресную программу капитального ремонта общего имущества в многоквартирных домах на территории Донецкой Народной Республики в 2024-2026 годах, утвержденную постановлением Правительства Донецкой Народной Республики от 8 октября 2024 г. № 103-3"
Номер опубликования: 8000202412230016
Дата опубликования: 23.12.2024
Страница №3 из 14:
Увеличить