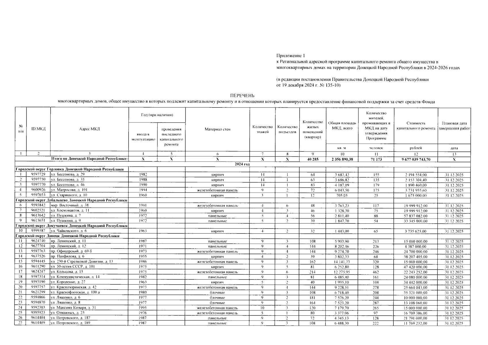
Постановление Правительства Донецкой Народной Республики от 19.12.2024 № 135-10
"О внесении изменений в Региональную адресную программу капитального ремонта общего имущества в многоквартирных домах на территории Донецкой Народной Республики в 2024-2026 годах, утвержденную постановлением Правительства Донецкой Народной Республики от 8 октября 2024 г. № 103-3"
"О внесении изменений в Региональную адресную программу капитального ремонта общего имущества в многоквартирных домах на территории Донецкой Народной Республики в 2024-2026 годах, утвержденную постановлением Правительства Донецкой Народной Республики от 8 октября 2024 г. № 103-3"
Номер опубликования: 8000202412230016
Дата опубликования:
23.12.2024
