Официальное опубликование правовых актов
ОФИЦИАЛЬНОЕ ОПУБЛИКОВАНИЕ
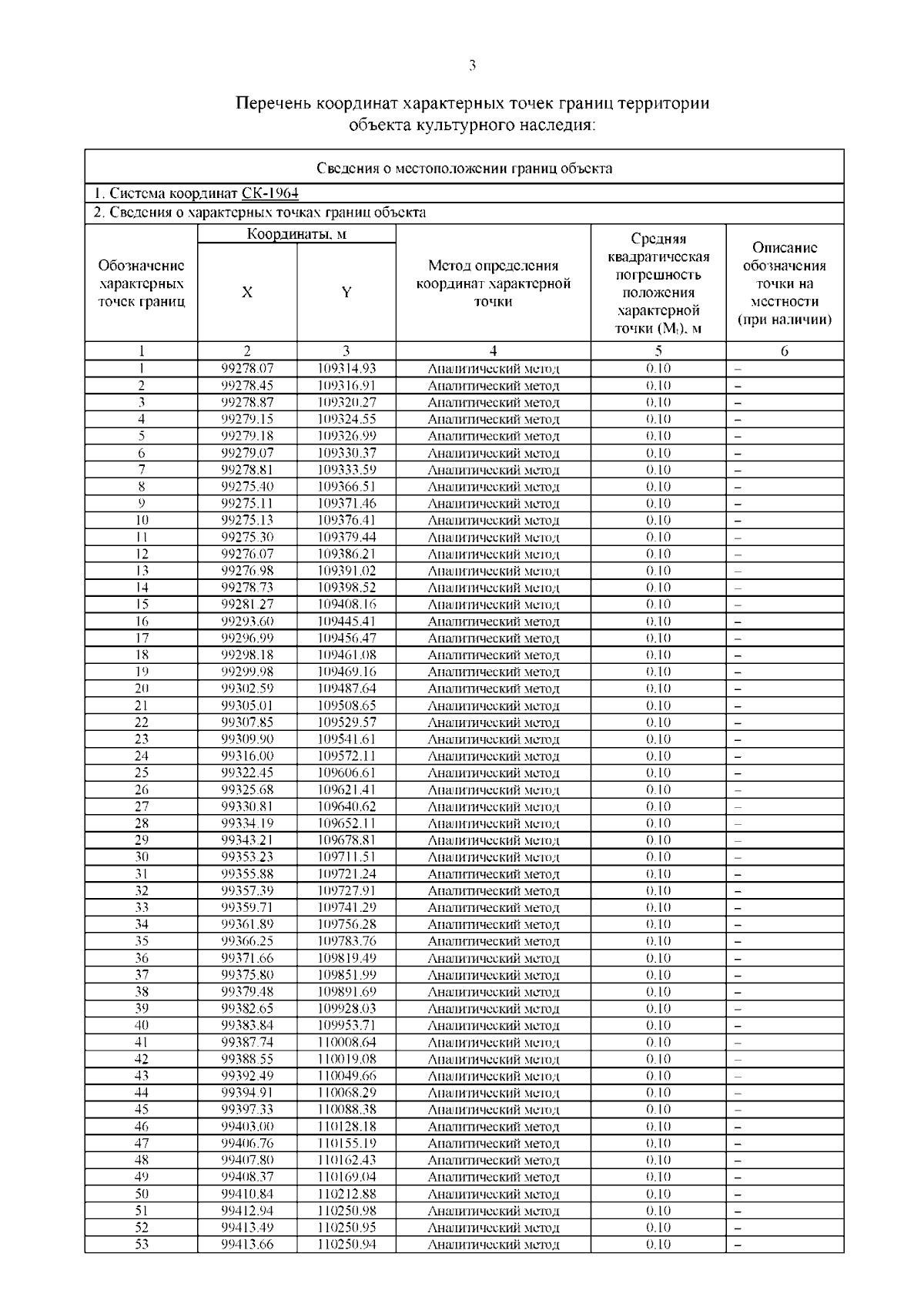
Распоряжение Комитета по государственному контролю, использованию и охране памятников истории и культуры от 10.12.2025 № 369-рп
"Об утверждении границ и режима использования территории объекта культурного наследия федерального значения "Ансамбль Елагина острова"
(Зарегистрирован 11.12.2025 № 51395)
Номер опубликования: 7801202512150035
Дата опубликования: 15.12.2025
Страница №5 из 12:
Увеличить