Официальное опубликование правовых актов
ОФИЦИАЛЬНОЕ ОПУБЛИКОВАНИЕ
Распоряжение Комитета по государственному контролю, использованию и охране памятников истории и культуры от 10.11.2025 № 316-рп
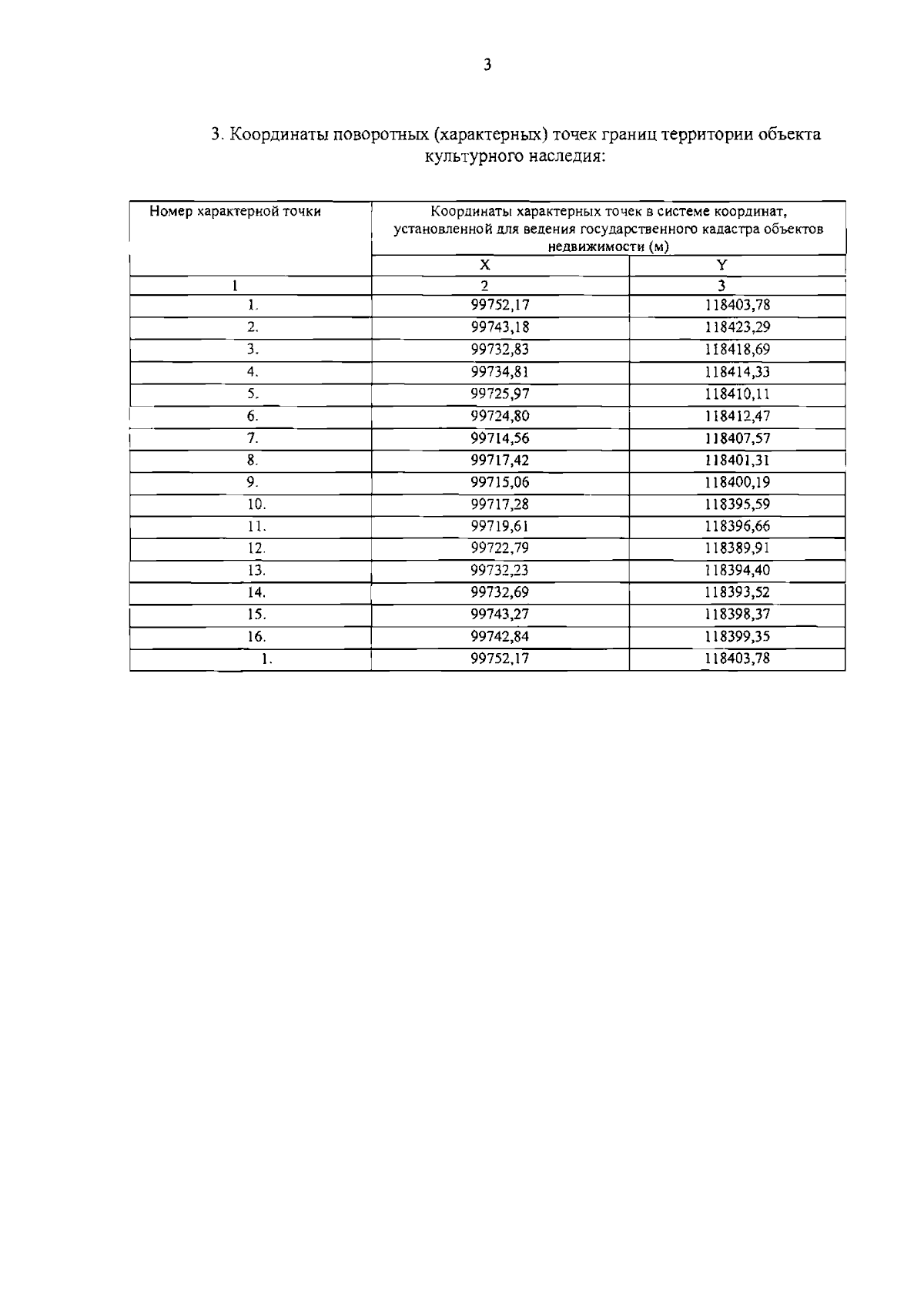
"О включении выявленного объекта культурного наследия в единый государственный реестр объектов культурного наследия (памятников истории и культуры) народов Российской Федерации в качестве объекта культурного наследия регионального значения "Богадельня для престарелых членов Общества вспоможения приказчикам и сидельцам", об утверждении границ и режима использования территории объекта культурного наследия, об утверждении предмета охраны объекта культурного наследия"
(Зарегистрирован 11.11.2025 № 51211)
Номер опубликования: 7801202511130002
Дата опубликования: 13.11.2025
Страница №5 из 13:
Увеличить