Официальное опубликование правовых актов
ОФИЦИАЛЬНОЕ ОПУБЛИКОВАНИЕ
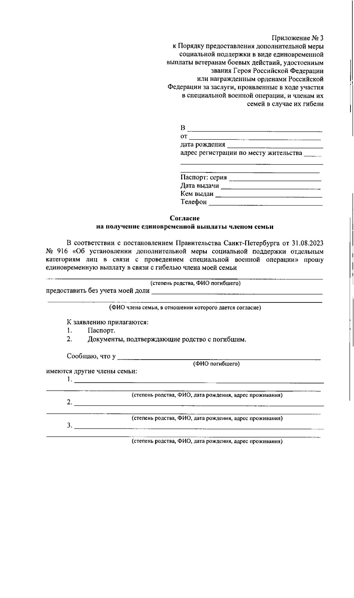
Распоряжение Комитета по социальной политике Санкт-Петербурга от 18.08.2025 № 742-р
"О внесении изменений в распоряжение Комитета по социальной политике Санкт-Петербурга от 05.09.2023 №2271-р"
(Зарегистрирован 28.08.2025 № 50857)
Номер опубликования: 7801202509040013
Дата опубликования: 04.09.2025
Страница №14 из 15:
Увеличить