Официальное опубликование правовых актов
ОФИЦИАЛЬНОЕ ОПУБЛИКОВАНИЕ
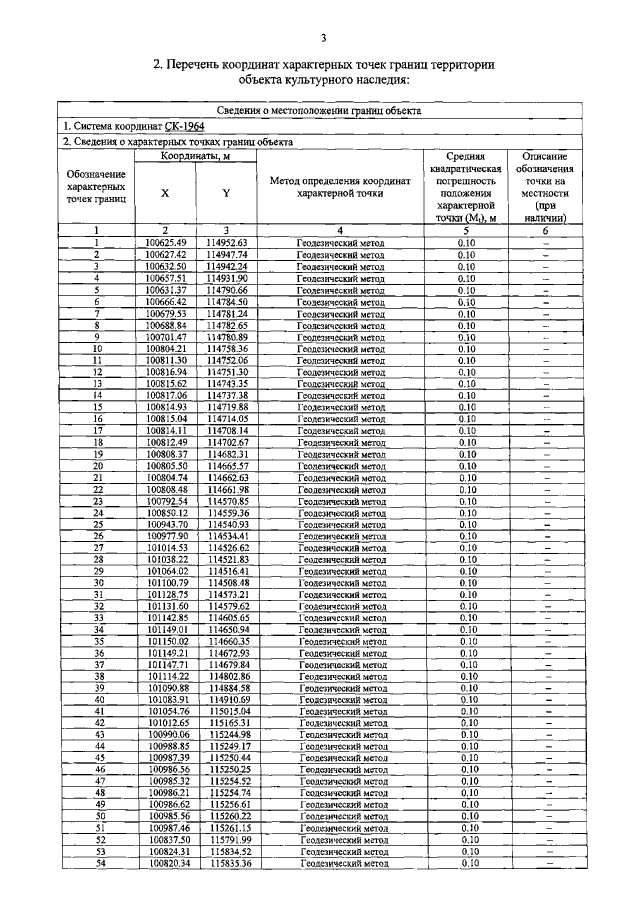
Распоряжение Комитета по государственному контролю, использованию и охране памятников истории и культуры Санкт-Петербурга от 26.04.2023 № 294-рп
"Об утверждении границ и режима использования территории объекта культурного наследия федерального значения "Институт Лесной (Академия лесотехническая)"
(Зарегистрирован 27.04.2023 № 34768)
Номер опубликования: 7801202304280015
Дата опубликования: 28.04.2023
Страница №5 из 7:
Увеличить