Официальное опубликование правовых актов
ОФИЦИАЛЬНОЕ ОПУБЛИКОВАНИЕ
Постановление Правительства Санкт-Петербурга от 10.12.2025 № 979
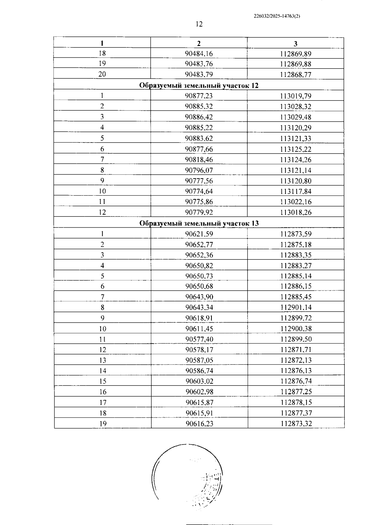
"О внесении изменений в постановление Правительства Санкт-Петербурга от 17.07.2007 № 864 и утверждении проекта межевания территории, ограниченной Митрофаньевским шоссе, проектируемой улицей, перспективной пробивкой Измайловского пр., проектируемой улицей, в Адмиралтейском районе"
Номер опубликования: 7800202512170004
Дата опубликования: 17.12.2025
Страница №31 из 31:
Увеличить