Официальное опубликование правовых актов
ОФИЦИАЛЬНОЕ ОПУБЛИКОВАНИЕ
Постановление Правительства Санкт-Петербурга от 05.12.2025 № 946
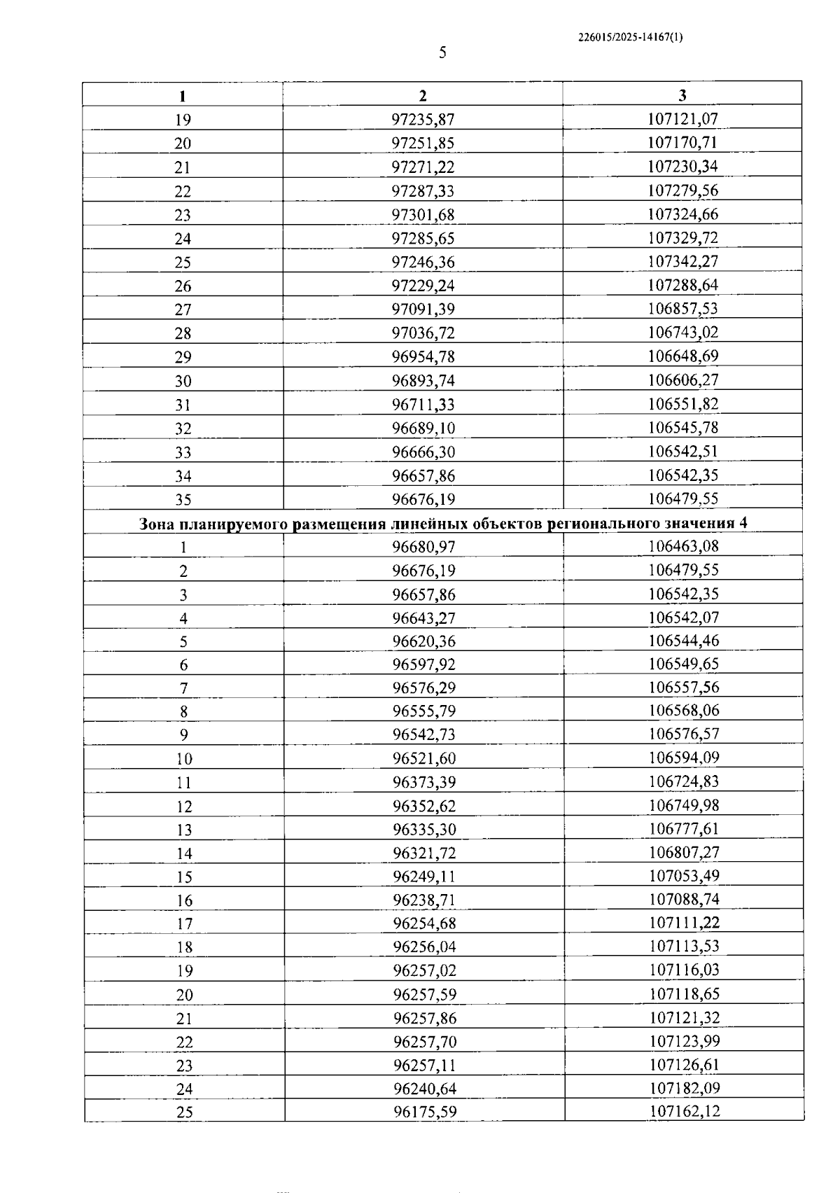
"Об утверждении проекта планировки с проектом межевания территории для размещения линейных объектов регионального значения "Новосмоленская наб. от ул. Лисянского до магистрали № 5", "Магистраль № 5 от Новосмоленской наб. до пр. Крузенштерна"
Номер опубликования: 7800202512120004
Дата опубликования: 12.12.2025
Страница №20 из 64:
Увеличить