Официальное опубликование правовых актов
ОФИЦИАЛЬНОЕ ОПУБЛИКОВАНИЕ
Постановление Правительства Санкт-Петербурга от 11.11.2025 № 841
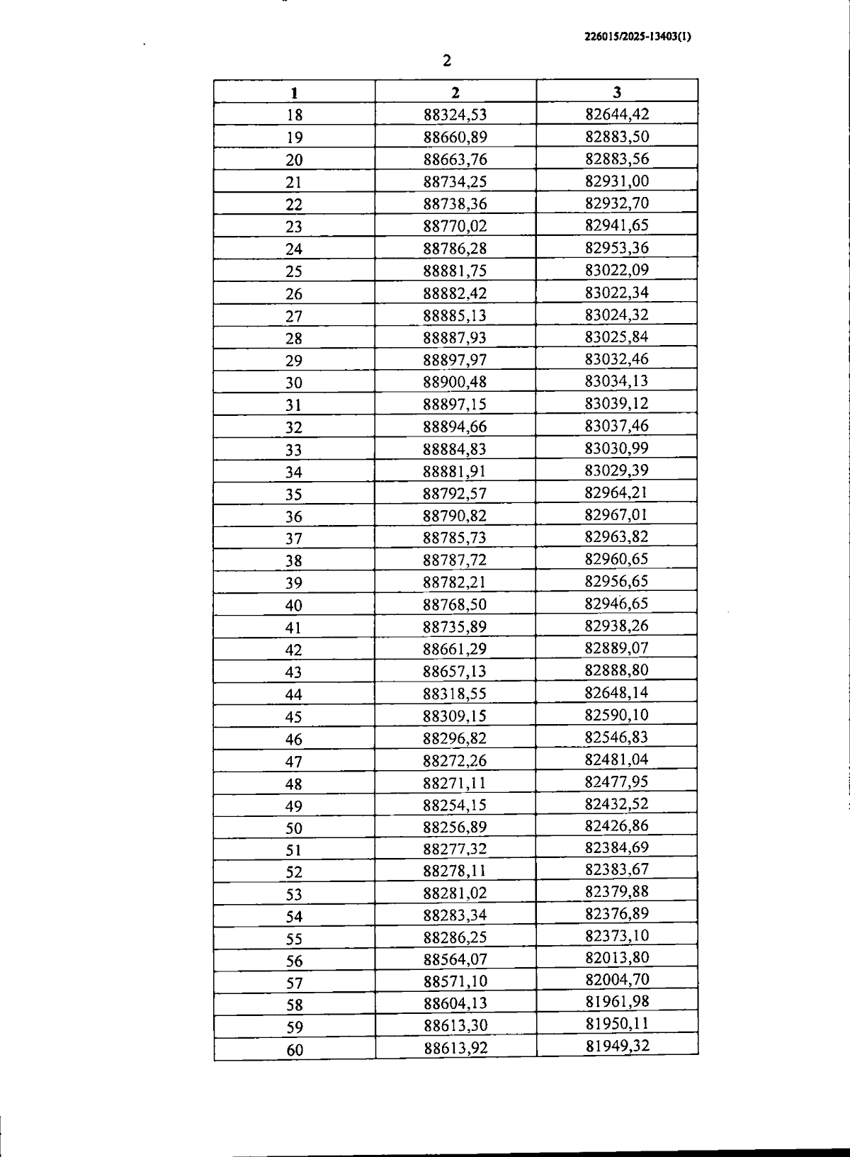
"Об утверждении проекта планировки с проектом межевания территории для размещения линейного объекта регионального значения "Реконструкция водопровода по адресу: Санкт-Петербург, г. Ломоносов, от КПЛ 12 (Ораниенбаумский пр., д. 73) до КПК 10 (южнее дома № 3 по Иликовской дор.), 1-й этап"
Номер опубликования: 7800202511180001
Дата опубликования: 18.11.2025
Страница №12 из 20:
Увеличить