Официальное опубликование правовых актов
ОФИЦИАЛЬНОЕ ОПУБЛИКОВАНИЕ
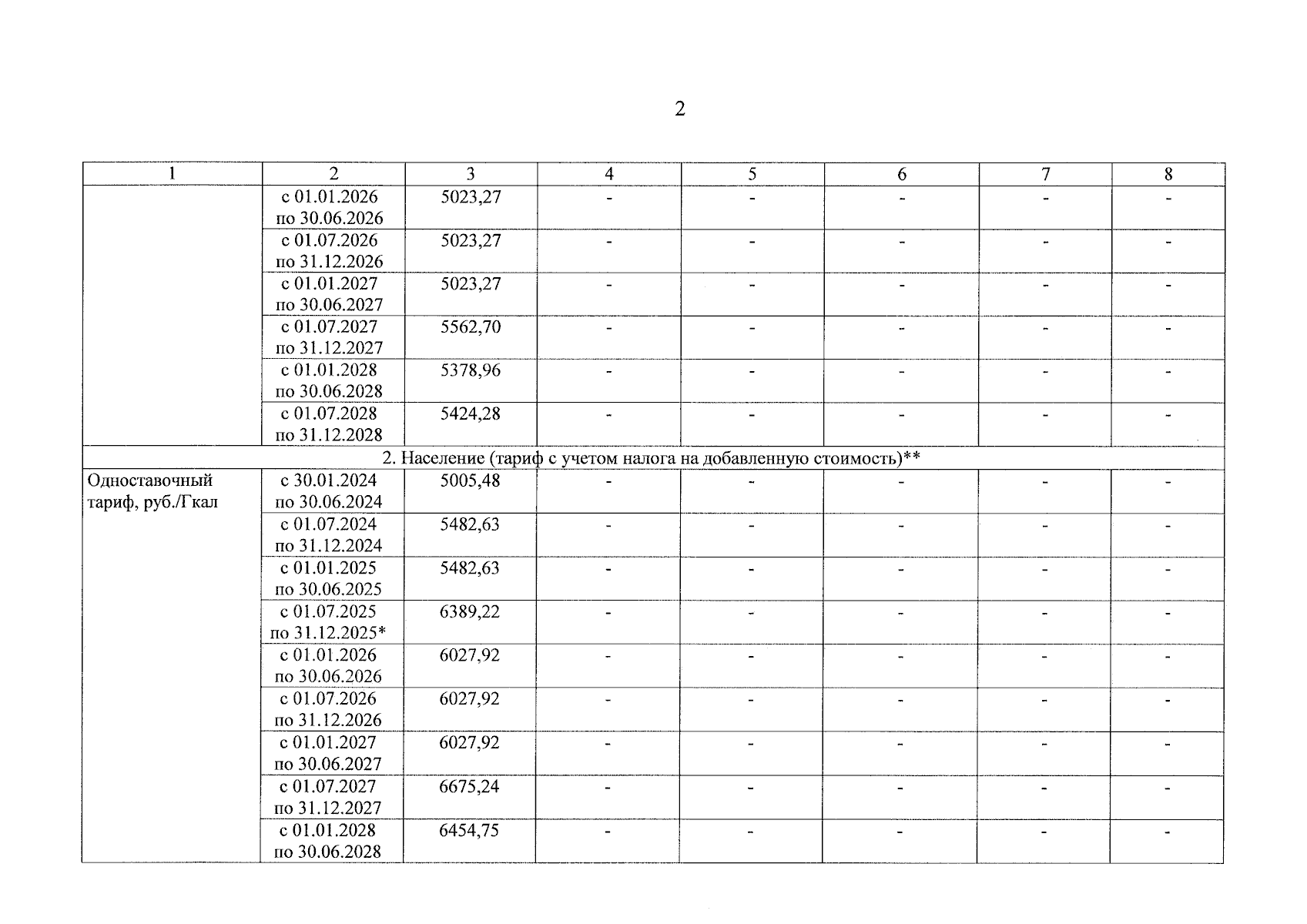
Приказ министерства тарифного регулирования Ярославской области от 17.01.2025 № 15-ви
"О внесении изменений в приказ министерства тарифного регулирования Ярославской области от 30.01.2024 № 13-тэ"
(Зарегистрирован 20.01.2025 № 43-15888)
Номер опубликования: 7601202501200006
Дата опубликования: 20.01.2025
Страница №7 из 14:
Увеличить