Официальное опубликование правовых актов
ОФИЦИАЛЬНОЕ ОПУБЛИКОВАНИЕ
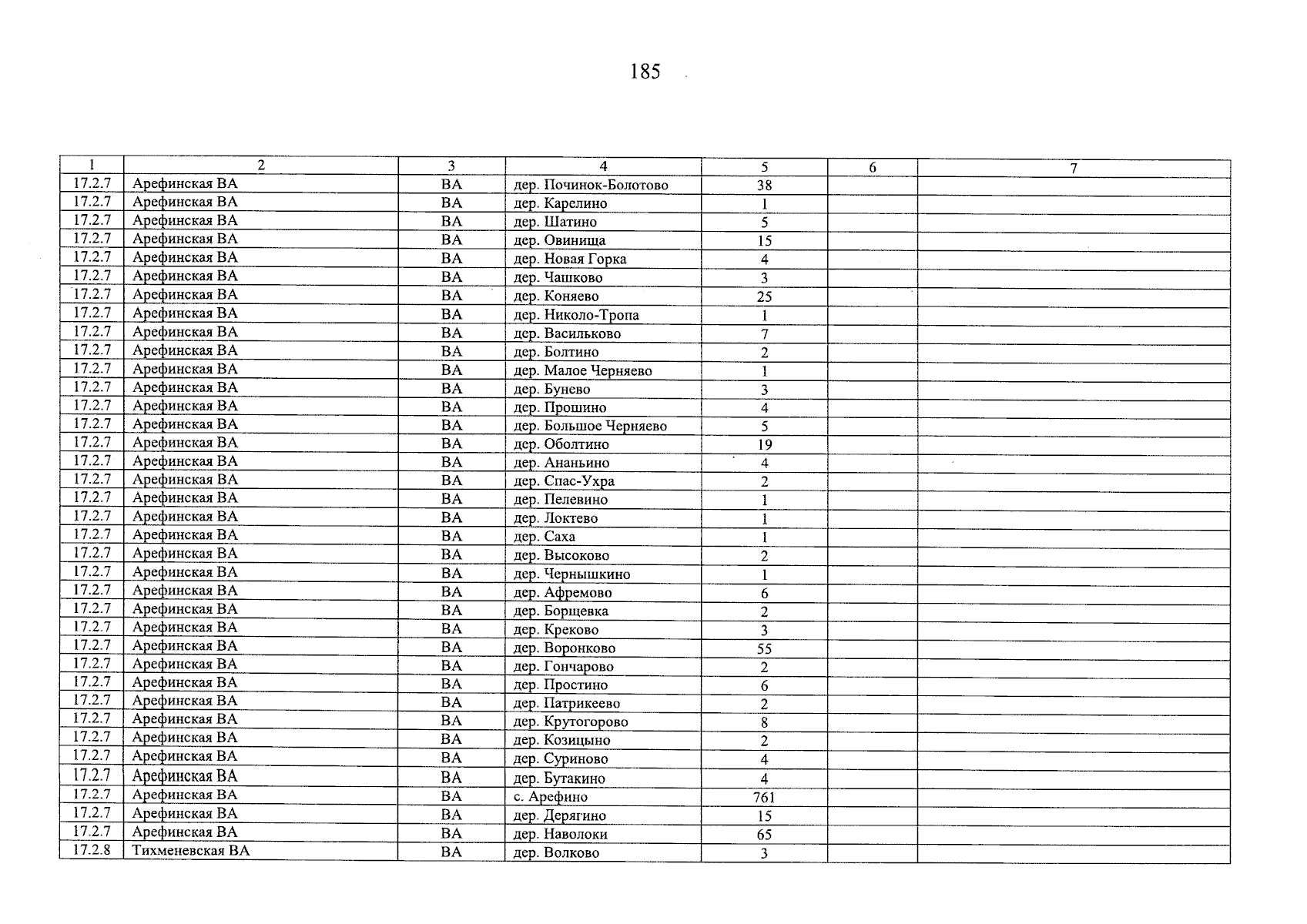
Постановление Правительства Ярославской области от 09.09.2025 № 916-п
"О внесении изменений в постановление Правительства Ярославской области от 15.12.2020 № 966-п"
Номер опубликования: 7600202509110003
Дата опубликования: 11.09.2025
Страница №186 из 233:
Увеличить