Официальное опубликование правовых актов
ОФИЦИАЛЬНОЕ ОПУБЛИКОВАНИЕ
Постановление Правительства Ярославской области от 23.11.2018 № 864-п
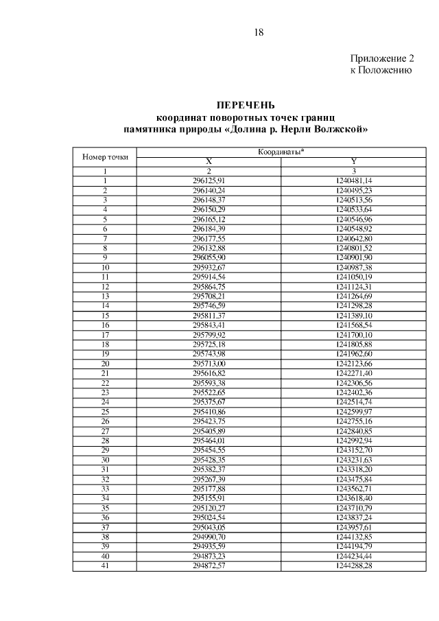
"О выделении зоны ограниченного хозяйственного использования, об утверждении Положения о памятнике природы "Долина р. Нерли Волжской" и о внесении изменений в постановления Правительства области от 01.07.2010 № 460-п, от 02.11.2017 № 823-п"
Номер опубликования: 7600201811280002
Дата опубликования: 28.11.2018
Страница №18 из 37:
Увеличить