Официальное опубликование правовых актов
ОФИЦИАЛЬНОЕ ОПУБЛИКОВАНИЕ
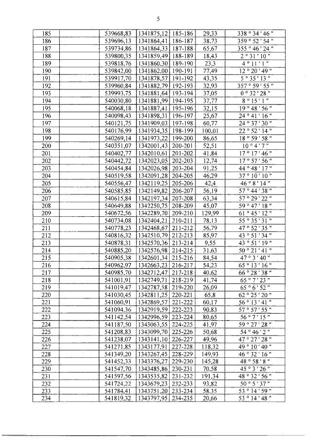
Постановление Правительства Челябинской области от 03.12.2020 № 651-П
"Об установлении границ памятника природы Челябинской области вершина хребта Бакты"
Номер опубликования: 7400202012070006
Дата опубликования: 07.12.2020
Страница №9 из 10:
Увеличить