Официальное опубликование правовых актов
ОФИЦИАЛЬНОЕ ОПУБЛИКОВАНИЕ
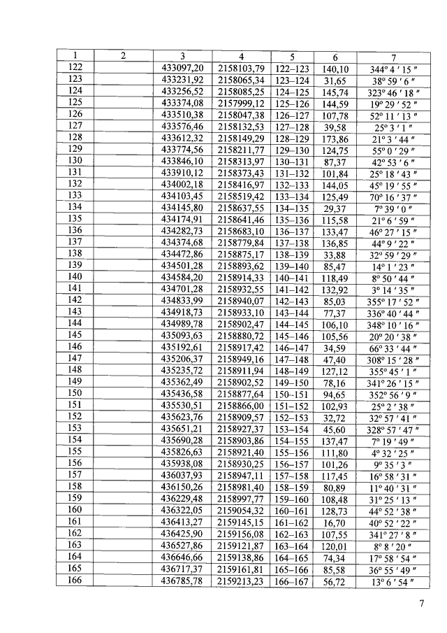
Постановление Законодательного Собрания Челябинской области от 27.08.2020 № 2570
"Об установлении границы памятника природы Челябинской области низовья реки Малый Кизил"
Номер опубликования: 7400202009030001
Дата опубликования: 03.09.2020
Страница №7 из 8:
Увеличить