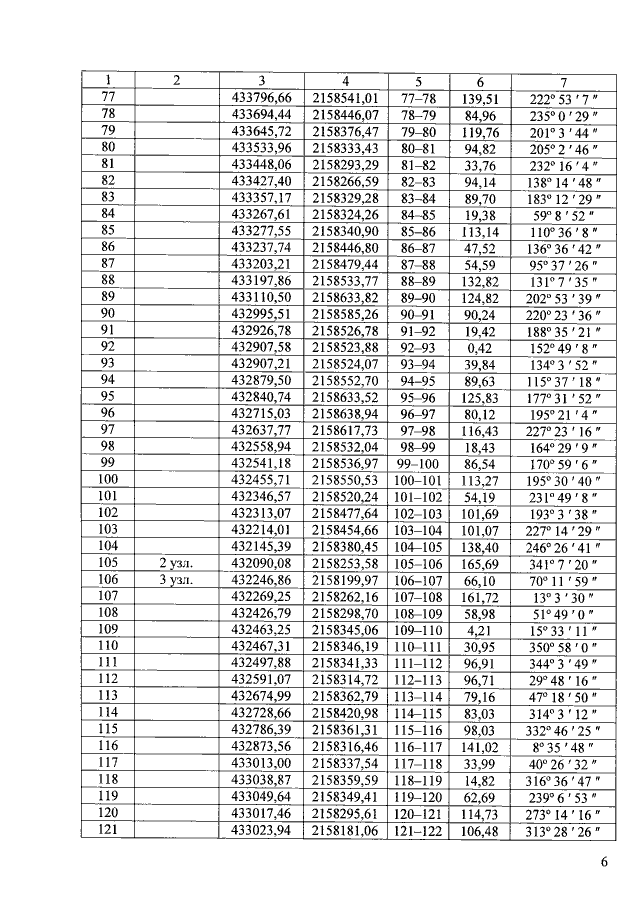
Постановление Законодательного Собрания Челябинской области от 27.08.2020 № 2570
"Об установлении границы памятника природы Челябинской области низовья реки Малый Кизил"
"Об установлении границы памятника природы Челябинской области низовья реки Малый Кизил"
Номер опубликования: 7400202009030001
Дата опубликования:
03.09.2020
