Официальное опубликование правовых актов
ОФИЦИАЛЬНОЕ ОПУБЛИКОВАНИЕ
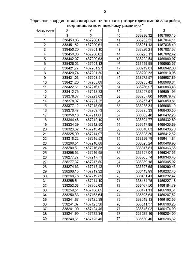
Постановление Правительства Тюменской области от 12.09.2022 № 669-п
"О комплексном развитии территории жилой застройки в границах улиц Красноармейская-Заозерная-2-я Луговая-Береговая города Тюмени"
Номер опубликования: 7200202209160003
Дата опубликования: 16.09.2022
Страница №4 из 48:
Увеличить