Официальное опубликование правовых актов
ОФИЦИАЛЬНОЕ ОПУБЛИКОВАНИЕ
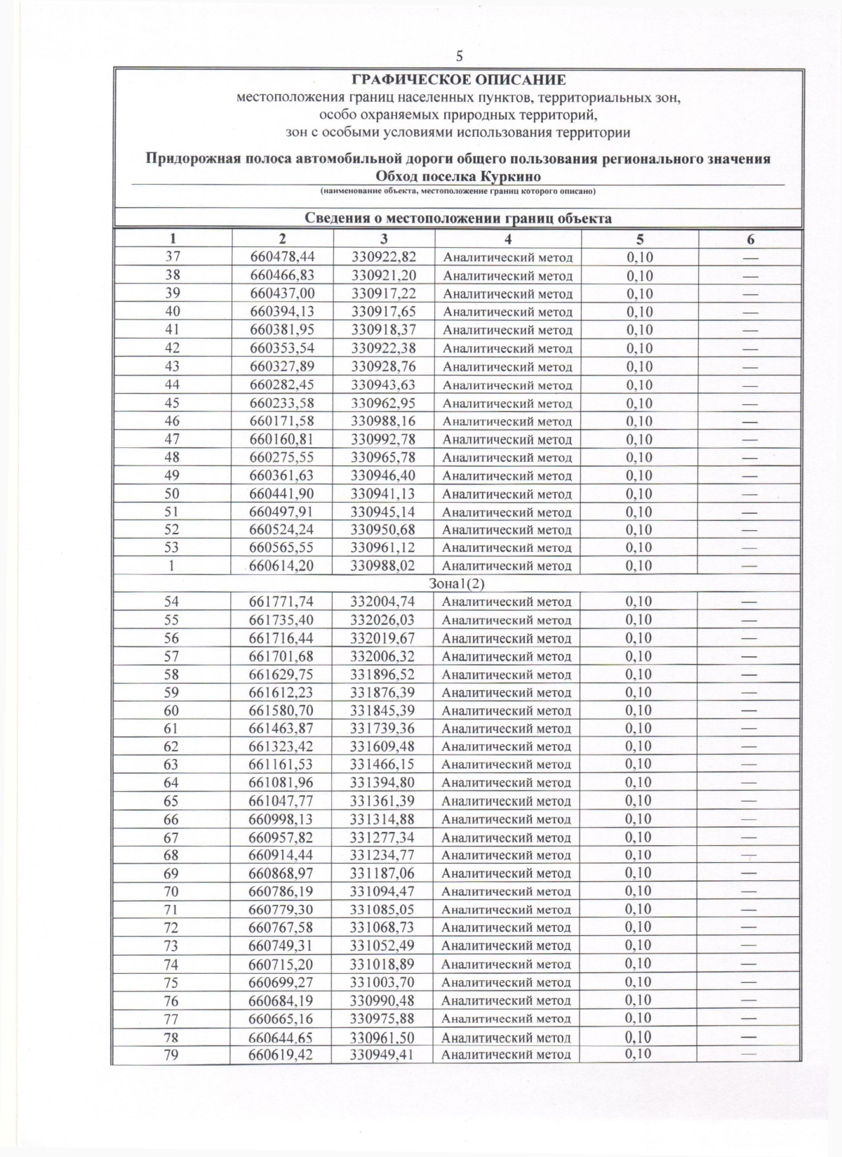
Приказ Министерства транспорта и дорожного хозяйства Тульской области от 15.10.2025 № 248
"Об установлении придорожных полос автомобильной дороги общего пользования регионального значения Обход поселка Куркино"
(Зарегистрирован 15.10.2025 № 248)
Номер опубликования: 7101202510200007
Дата опубликования: 20.10.2025
Страница №7 из 22:
Увеличить