Официальное опубликование правовых актов
ОФИЦИАЛЬНОЕ ОПУБЛИКОВАНИЕ
Постановление Правительства Тверской области от 15.10.2021 № 529-пп
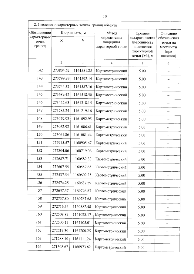
"Об утверждении графического описания местоположения границ особо охраняемой природной территории регионального значения – государственного природного заказника "Болото Дертёнский Мох"
Номер опубликования: 6900202110180012
Дата опубликования: 18.10.2021
Страница №10 из 15:
Увеличить