Официальное опубликование правовых актов
ОФИЦИАЛЬНОЕ ОПУБЛИКОВАНИЕ
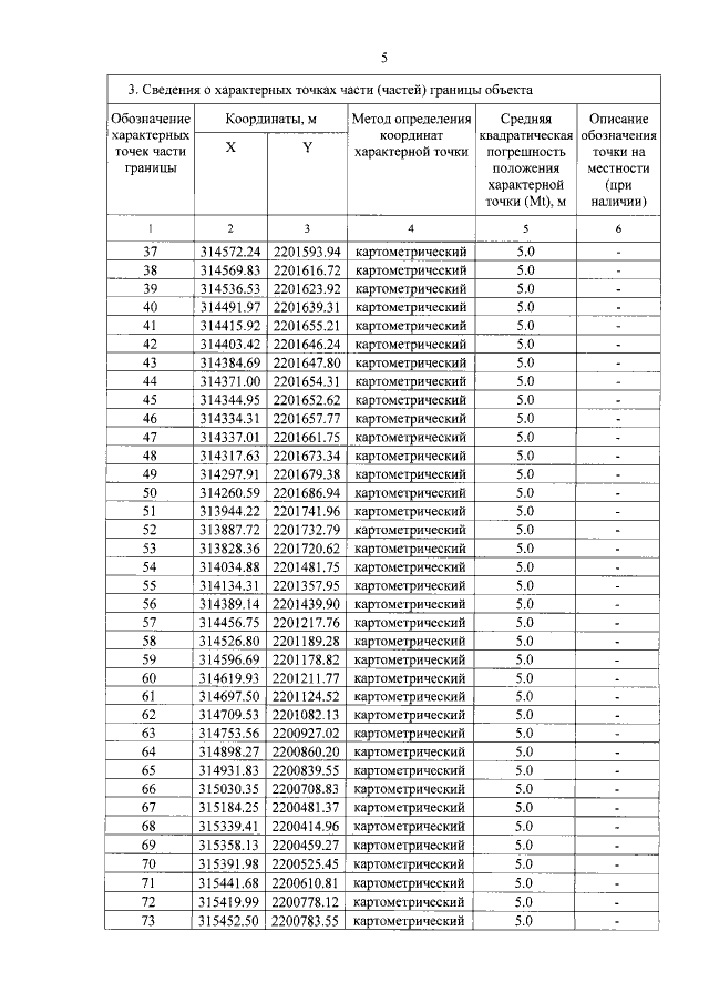
Постановление Правительства Тверской области от 24.12.2019 № 538-пп
"Об утверждении графического описания местоположения границ особо охраняемой природной территории регионального значения — государственного природного заказника "Сосновый бор у д. Горощино по берегам рек Осуга и Таложенка"
Номер опубликования: 6900201912310030
Дата опубликования: 31.12.2019
Страница №5 из 9:
Увеличить