Приказ Управления по государственной охране объектов культурного наследия Тамбовской области от 18.06.2020 № 230
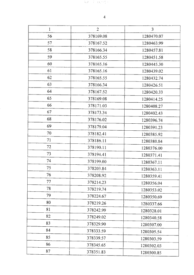
"Об утверждении графического описания местоположения границ защитной зоны объекта культурного наследия регионального значения "Здание Тамбовского среднего сельскохозяйственного училища" (Тамбовская область, Ржаксинский район, п. Чакино, ул. Центральная, д.23) с перечнем координат характерных точек этих границ в системе координат, установленной для ведения Единого государственного реестра недвижимости, и режима использования земель в границах данной защитной зоны"
"Об утверждении графического описания местоположения границ защитной зоны объекта культурного наследия регионального значения "Здание Тамбовского среднего сельскохозяйственного училища" (Тамбовская область, Ржаксинский район, п. Чакино, ул. Центральная, д.23) с перечнем координат характерных точек этих границ в системе координат, установленной для ведения Единого государственного реестра недвижимости, и режима использования земель в границах данной защитной зоны"
Номер опубликования: 6801202006190010
Дата опубликования:
19.06.2020
