Официальное опубликование правовых актов
ОФИЦИАЛЬНОЕ ОПУБЛИКОВАНИЕ
Приказ Управления по государственной охране объектов культурного наследия Тамбовской области от 18.06.2020 № 230
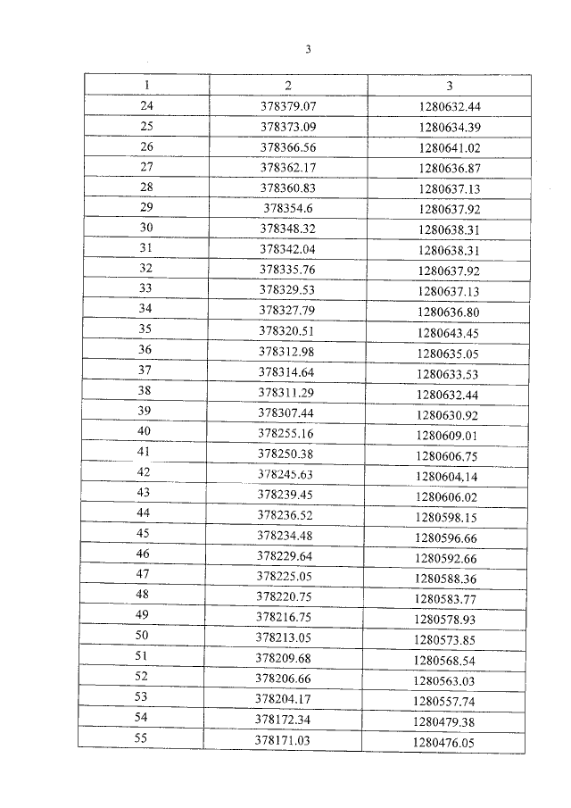
"Об утверждении графического описания местоположения границ защитной зоны объекта культурного наследия регионального значения "Здание Тамбовского среднего сельскохозяйственного училища" (Тамбовская область, Ржаксинский район, п. Чакино, ул. Центральная, д.23) с перечнем координат характерных точек этих границ в системе координат, установленной для ведения Единого государственного реестра недвижимости, и режима использования земель в границах данной защитной зоны"
Номер опубликования: 6801202006190010
Дата опубликования: 19.06.2020
Страница №5 из 7:
Увеличить