Официальное опубликование правовых актов
ОФИЦИАЛЬНОЕ ОПУБЛИКОВАНИЕ
Приказ Министерства строительства и развития инфраструктуры Свердловской области от 10.10.2025 № 471-П
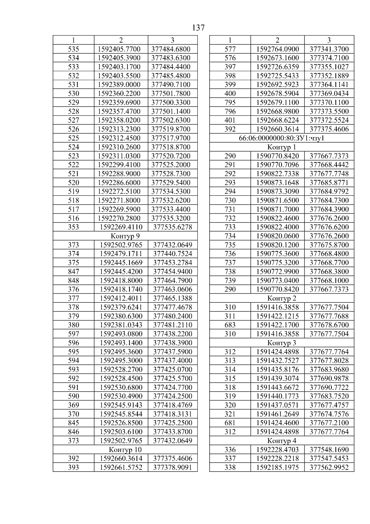
"Об утверждении основной части проекта планировки территории для размещения линейного объекта транспортной инфраструктуры регионального значения "Реконструкция автомобильной дороги р. п. Белоярский – с. Бруснятское – с. Некрасово (устройство тротуаров и искусственного освещения на км 13+300 – км 15+600) на территории Белоярского городского округа" и основной части проекта межевания территории для размещения линейного объекта транспортной инфраструктуры регионального значения "Реконструкция автомобильной дороги р. п. Белоярский – с. Бруснятское – с. Некрасово (устройство тротуаров и искусственного освещения на км 13+300 – км 15+600) на территории Белоярского городского округа"
(Зарегистрирован 16.10.2025 № 3380)
Номер опубликования: 6601202510170001
Дата опубликования: 17.10.2025
Страница №137 из 145:
Увеличить