Официальное опубликование правовых актов
ОФИЦИАЛЬНОЕ ОПУБЛИКОВАНИЕ
Приказ Министерства строительства и развития инфраструктуры Свердловской области от 24.11.2022 № 543-п
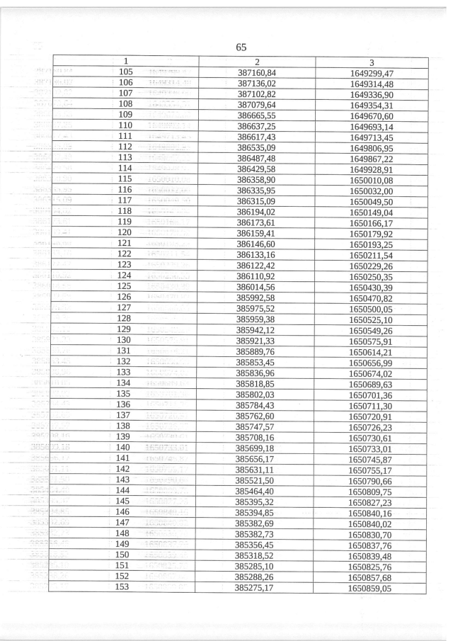
"Об утверждении основной части проекта планировки территории для размещения линейного объекта транспортной инфраструктуры регионального значения "Реконструкция автомобильной дороги с. Володинское – д. Борисова – а/д "Екатеринбург – Тюмень" на территории Камышловского муниципального района" и основной части проекта межевания территории для размещения линейного объекта транспортной инфраструктуры регионального значения "Реконструкция автомобильной дороги с. Володинское – д. Борисова – а/д "Екатеринбург – Тюмень" на территории Камышловского муниципального района"
Номер опубликования: 6601202211300007
Дата опубликования: 30.11.2022
Страница №65 из 72:
Увеличить