Официальное опубликование правовых актов
ОФИЦИАЛЬНОЕ ОПУБЛИКОВАНИЕ
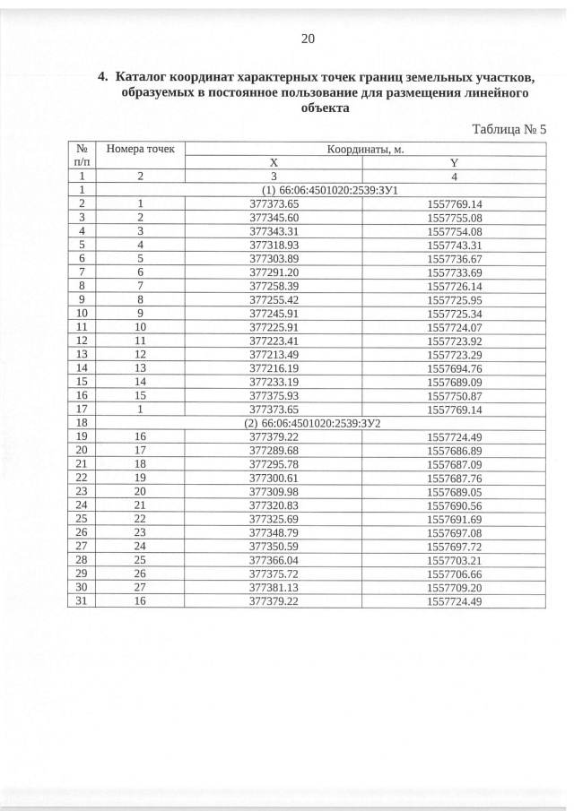
Приказ Министерства строительства и развития инфраструктуры Свердловской области от 03.11.2022 № 522-п
"О внесении изменений в проект межевания территории для размещения линейного объекта транспортной инфраструктуры регионального значения "Строительство путепровода через железную дорогу на км 12 автомобильной дороги ж/д ст. Глубокое – п. Бобровский на территории Белоярского городского округа"
Номер опубликования: 6601202211080002
Дата опубликования: 08.11.2022
Страница №20 из 28:
Увеличить