Приказ Управления государственной охраны объектов культурного наследия Свердловской области от 08.07.2022 № 444
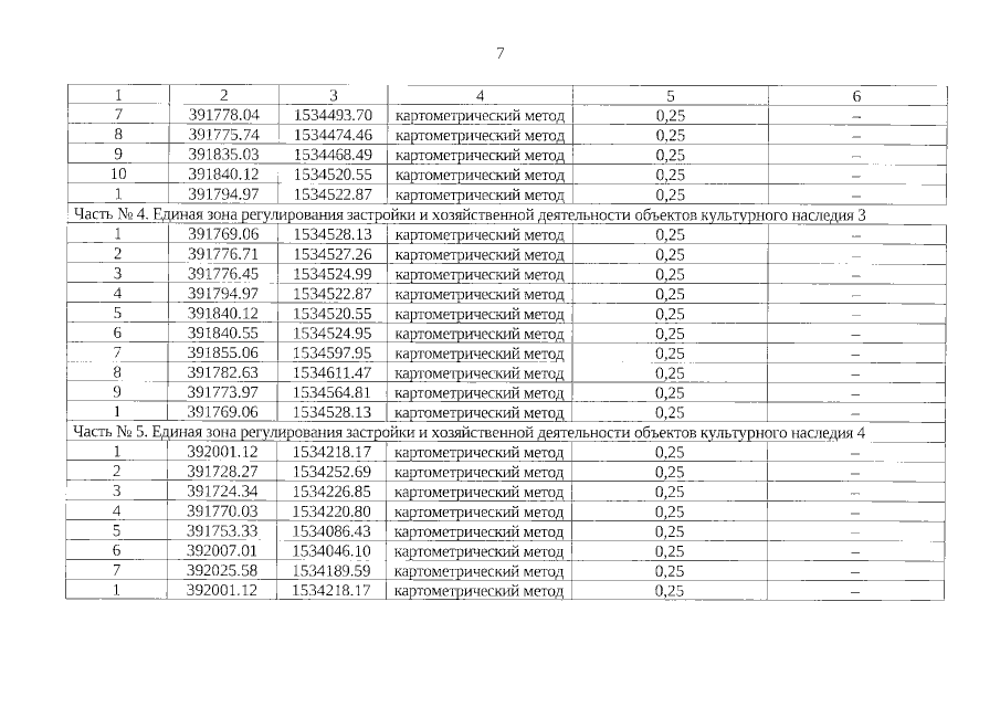
"Об установлении объединенной зоны охраны объектов культурного наследия федерального значения "Дом Харитонова", расположенного по адресу: Свердловская область, г. Екатеринбург, ул. Карла Либкнехта, д. 44, и "Вознесенская церковь", расположенного по адресу: Свердловская область, г. Екатеринбург, Комсомольская пл., и объектов культурного наследия регионального значения "Школа", расположенного по адресу: Свердловская область, г. Екатеринбург, ул. Клары Цеткин, д. 13, и "Памятник комсомолу Урала", расположенного по адресу: Свердловская область, г. Екатеринбург, Комсомольская пл., и утверждении требований к градостроительным регламентам в границах данной зоны"
"Об установлении объединенной зоны охраны объектов культурного наследия федерального значения "Дом Харитонова", расположенного по адресу: Свердловская область, г. Екатеринбург, ул. Карла Либкнехта, д. 44, и "Вознесенская церковь", расположенного по адресу: Свердловская область, г. Екатеринбург, Комсомольская пл., и объектов культурного наследия регионального значения "Школа", расположенного по адресу: Свердловская область, г. Екатеринбург, ул. Клары Цеткин, д. 13, и "Памятник комсомолу Урала", расположенного по адресу: Свердловская область, г. Екатеринбург, Комсомольская пл., и утверждении требований к градостроительным регламентам в границах данной зоны"
Номер опубликования: 6601202207120003
Дата опубликования:
12.07.2022
