Официальное опубликование правовых актов
ОФИЦИАЛЬНОЕ ОПУБЛИКОВАНИЕ
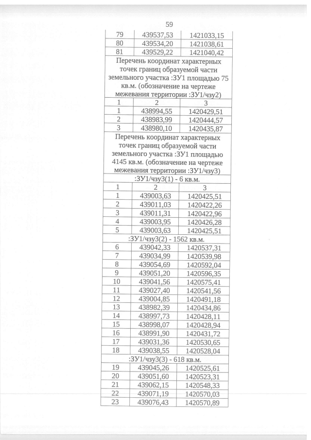
Приказ Министерства строительства и развития инфраструктуры Свердловской области от 19.05.2022 № 256-П
"Об утверждении основной части проекта планировки территории для размещения линейного объекта транспортной инфраструктуры регионального значения "Реконструкция автомобильной дороги г. Первоуральск – р. п. Шаля (обустройство автобусных остановок на км 117+981 и км 118+623) на территории Шалинского городского округа" и основной части проекта межевания территории для размещения линейного объекта транспортной инфраструктуры регионального значения "Реконструкция автомобильной дороги г. Первоуральск – р. п. Шаля (обустройство автобусных остановок на км 117+981 и км 118+623) на территории Шалинского городского округа"
Номер опубликования: 6601202205240011
Дата опубликования: 24.05.2022
Страница №59 из 69:
Увеличить