Официальное опубликование правовых актов
ОФИЦИАЛЬНОЕ ОПУБЛИКОВАНИЕ
Постановление Правительства Свердловской области от 24.08.2017 № 617-ПП
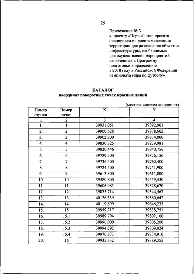
"О внесении изменений в проект "Первый этап проекта планировки и проекта межевания территории для размещения объектов инфраструктуры, необходимых для осуществления мероприятий, включенных в Программу подготовки к проведению в 2018 году в Российской Федерации чемпионата мира по футболу", утвержденный постановлением Правительства Свердловской области от 17.02.2015 № 108-ПП"
Номер опубликования: 6600201708290027
Дата опубликования: 29.08.2017
Страница №25 из 144:
Увеличить