Официальное опубликование правовых актов
ОФИЦИАЛЬНОЕ ОПУБЛИКОВАНИЕ
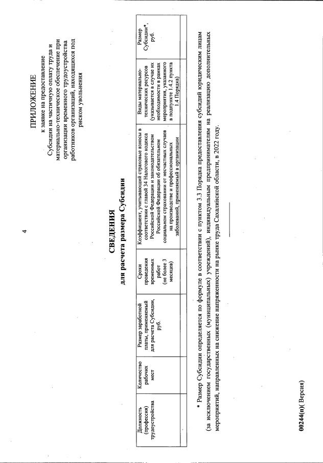
Постановление Правительства Сахалинской области от 05.08.2022 № 348
"Об утверждении Порядка предоставления субсидий юридическим лицам (за исключением государственных (муниципальных) учреждений), индивидуальным предпринимателям на реализацию дополнительных мероприятий, направленных на снижение напряженности на рынке труда Сахалинской области, в 2022 году"
Номер опубликования: 6500202208100001
Дата опубликования: 10.08.2022
Страница №37 из 47:
Увеличить