Официальное опубликование правовых актов
ОФИЦИАЛЬНОЕ ОПУБЛИКОВАНИЕ
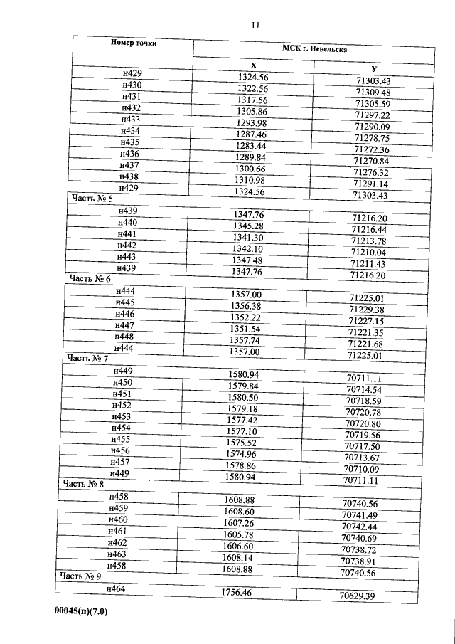
Постановление Правительства Сахалинской области от 15.04.2020 № 185
"Об утверждении положений о памятниках природы регионального значения Сахалинской области"
Номер опубликования: 6500202004170003
Дата опубликования: 17.04.2020
Страница №77 из 80:
Увеличить