Официальное опубликование правовых актов
ОФИЦИАЛЬНОЕ ОПУБЛИКОВАНИЕ
Приказ Управления по охране объектов культурного наследия Саратовской области от 02.12.2021 № 01-04/399
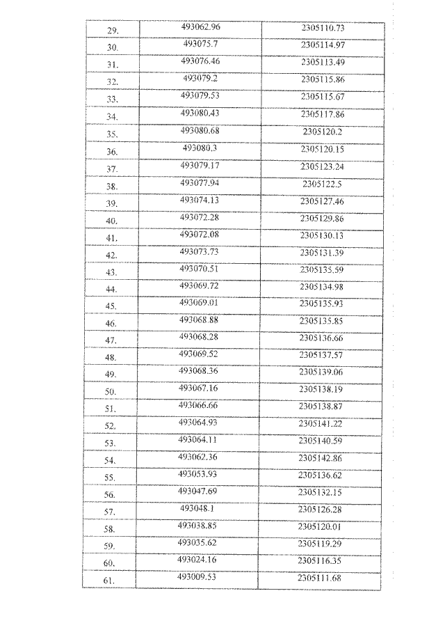
"О включении выявленного объекта культурного наследия по адресу: Саратовская область, г. Энгельс, ул. Коммунистическая, 34/ ул. Театральная в единый государственный реестр объектов культурного наследия (памятников истории и культуры) народов Российской Федерации в категории объекта культурного наследия местного (муниципального) значения, утверждении границ территории, требований к осуществлению деятельности в границах территории объекта культурного наследия и предмета охраны"
Номер опубликования: 6401202112090023
Дата опубликования: 09.12.2021
Страница №5 из 13:
Увеличить