Официальное опубликование правовых актов
ОФИЦИАЛЬНОЕ ОПУБЛИКОВАНИЕ
Постановление Правительства Саратовской области от 19.11.2025 № 865-П
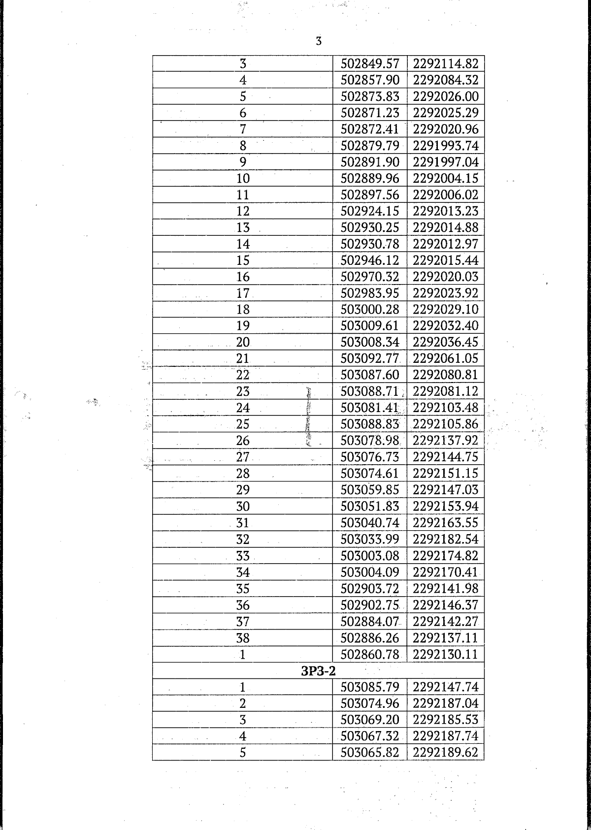
"Об утверждении зон охраны объекта культурного наследия местного (муниципального) значения "Школа, 1946 г., 1949 г.", 1946 г., 1949 г., расположенного по адресу: Саратовская область, г. Саратов, ул. Бережная, 1"
Номер опубликования: 6400202511260008
Дата опубликования: 26.11.2025
Страница №10 из 13:
Увеличить