Официальное опубликование правовых актов
ОФИЦИАЛЬНОЕ ОПУБЛИКОВАНИЕ
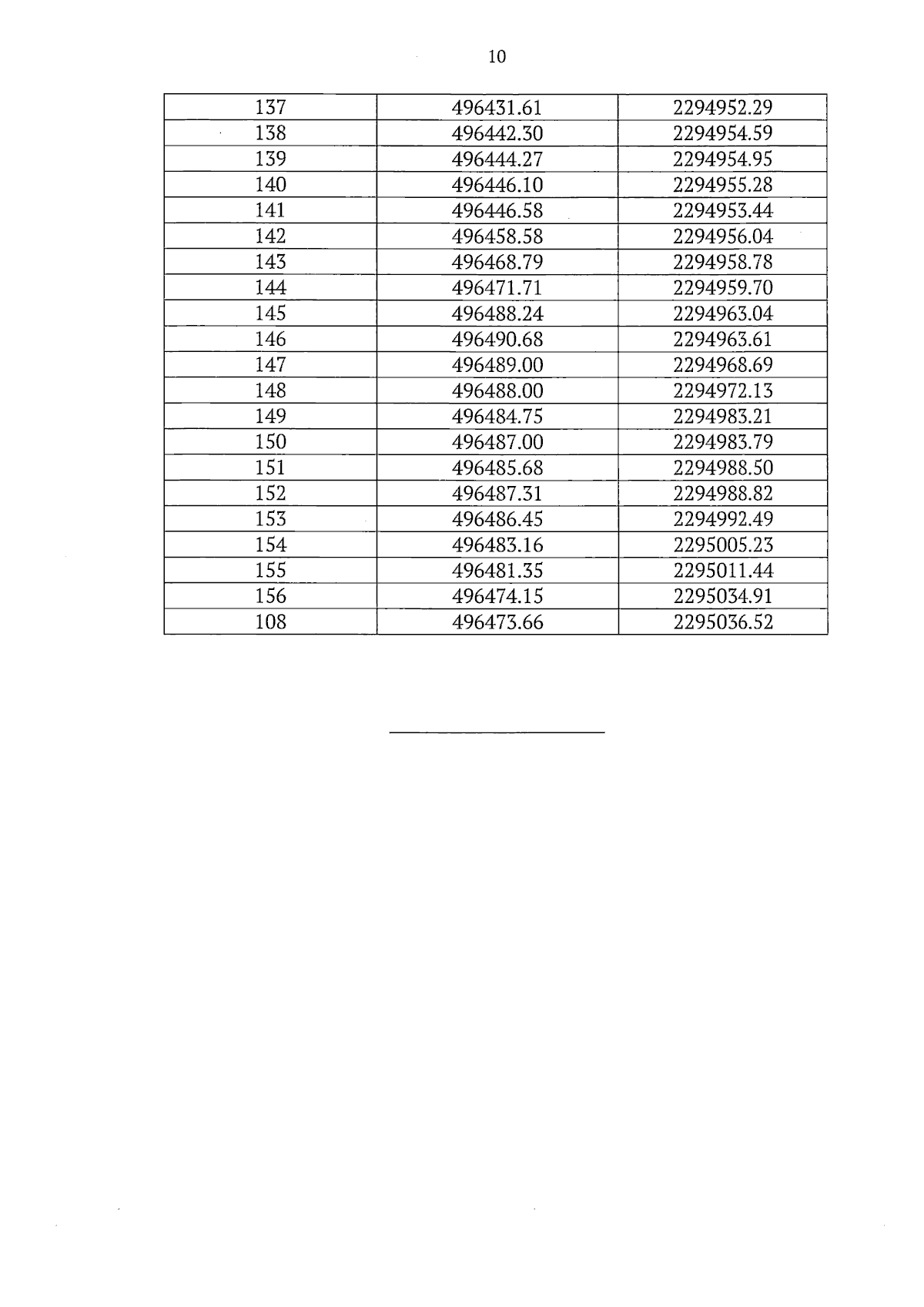
Постановление Правительства Саратовской области от 02.10.2025 № 759-П
"Об утверждении зон охраны объекта культурного наследия регионального значения "Главный корпус Саратовского государственного технического университета (СГТУ)", 1934 г., расположенного по адресу: Российская Федерация, Саратовская обл., г. о. город Саратов, г. Саратов, улица Политехническая, д. 77"
Номер опубликования: 6400202510070003
Дата опубликования: 07.10.2025
Страница №21 из 23:
Увеличить