Официальное опубликование правовых актов
ОФИЦИАЛЬНОЕ ОПУБЛИКОВАНИЕ
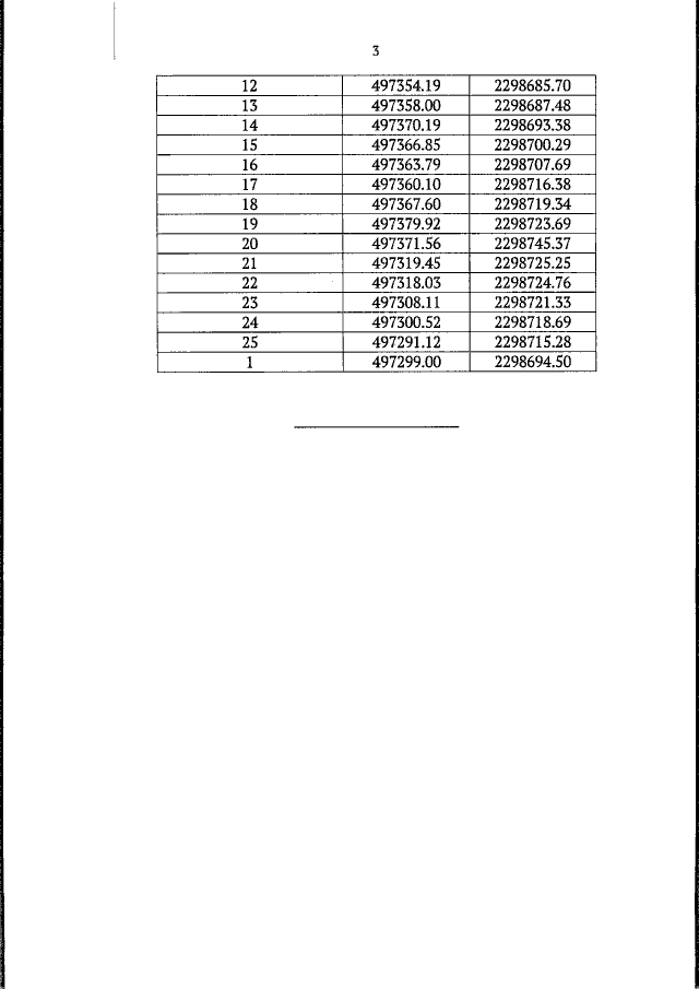
Постановление Правительства Саратовской области от 02.02.2023 № 73-П
"Об утверждении зон охраны объекта культурного наследия регионального значения "Дом, где с 1905 по 1908 г. жил Герой Социалистического Труда, писатель и общественный деятель, академик К.А. Федин", 1905-1908 г., расположенного по адресу: Саратовская область, г. Саратов, Смурский переулок, 13"
Номер опубликования: 6400202302090017
Дата опубликования: 09.02.2023
Страница №5 из 12:
Увеличить