Официальное опубликование правовых актов
ОФИЦИАЛЬНОЕ ОПУБЛИКОВАНИЕ
Постановление Правительства Саратовской области от 15.09.2022 № 896-П
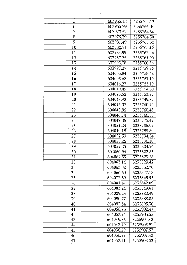
"Об утверждении зон охраны объекта культурного наследия регионального значения "Дом Михайловых-Радищевых", 1830-е годы, расположенного по адресу: Саратовская область, г. Хвалынск, ул. Революционная, 120"
Номер опубликования: 6400202209210003
Дата опубликования: 21.09.2022
Страница №18 из 24:
Увеличить