Официальное опубликование правовых актов
ОФИЦИАЛЬНОЕ ОПУБЛИКОВАНИЕ
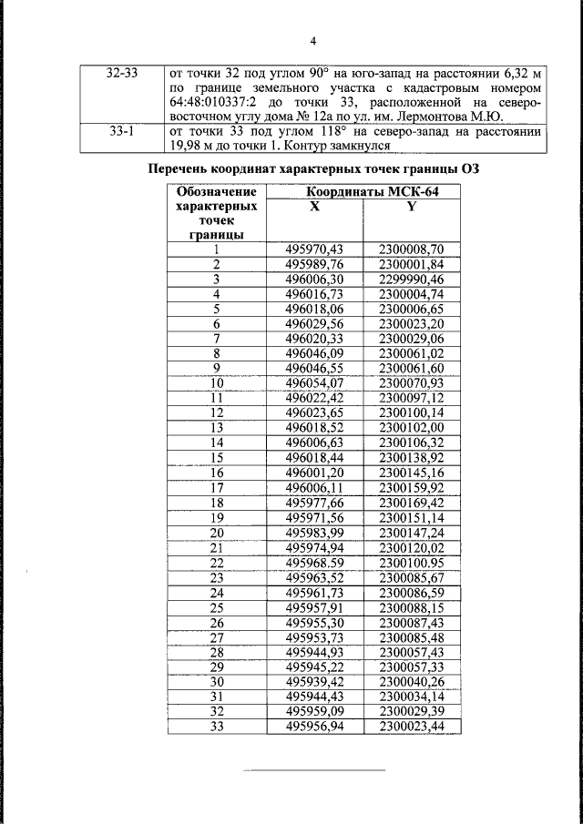
Постановление Правительства Саратовской области от 06.03.2020 № 140-П
"Об утверждении зон охраны объекта культурного наследия регионального значения "Дом, в котором с 1939 г. по июль 1941 г. находился штаб 53 Саратовской стрелковой дивизии", расположенного по адресу: Саратовская область, г. Саратов, ул. Лермонтова, 14"
Номер опубликования: 6400202003130003
Дата опубликования: 13.03.2020
Страница №6 из 14:
Увеличить