Официальное опубликование правовых актов
ОФИЦИАЛЬНОЕ ОПУБЛИКОВАНИЕ
Постановление Правительства Саратовской области от 28.01.2020 № 44-П
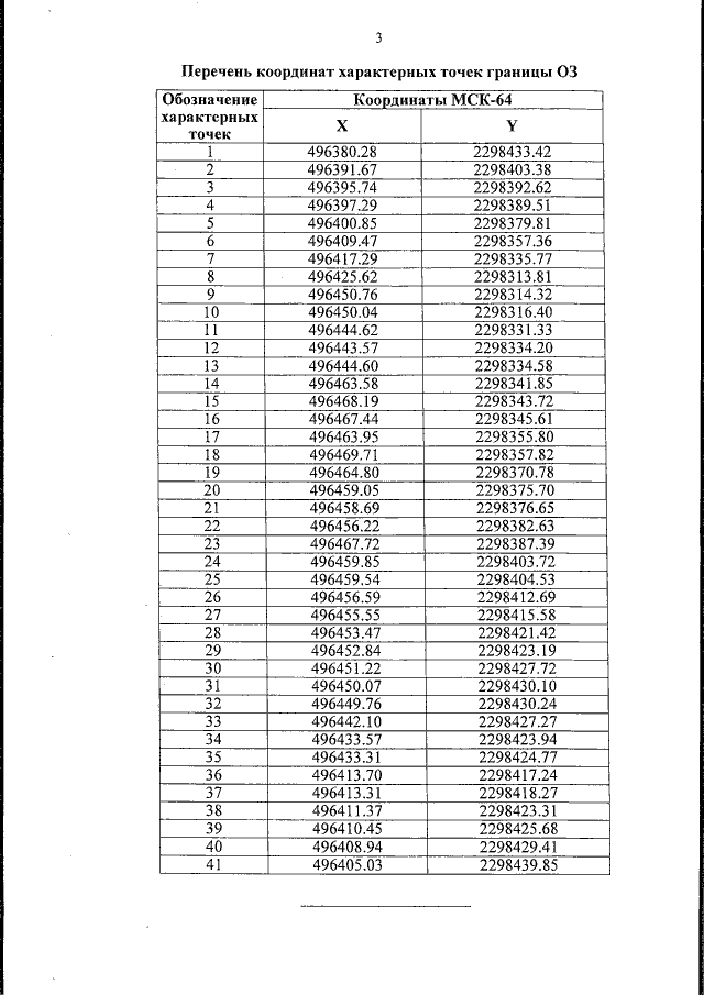
"Об утверждении зон охраны объекта культурного наследия регионального значения "Дом Тюльпина или Тилло (дом Саратовской ученой комиссии)", 2-я половина XIX в., расположенного по адресу: Саратовская область, г. Саратов, ул. Сакко и Ванцетти, 40"
Номер опубликования: 6400202002030004
Дата опубликования: 03.02.2020
Страница №5 из 16:
Увеличить