Официальное опубликование правовых актов
ОФИЦИАЛЬНОЕ ОПУБЛИКОВАНИЕ
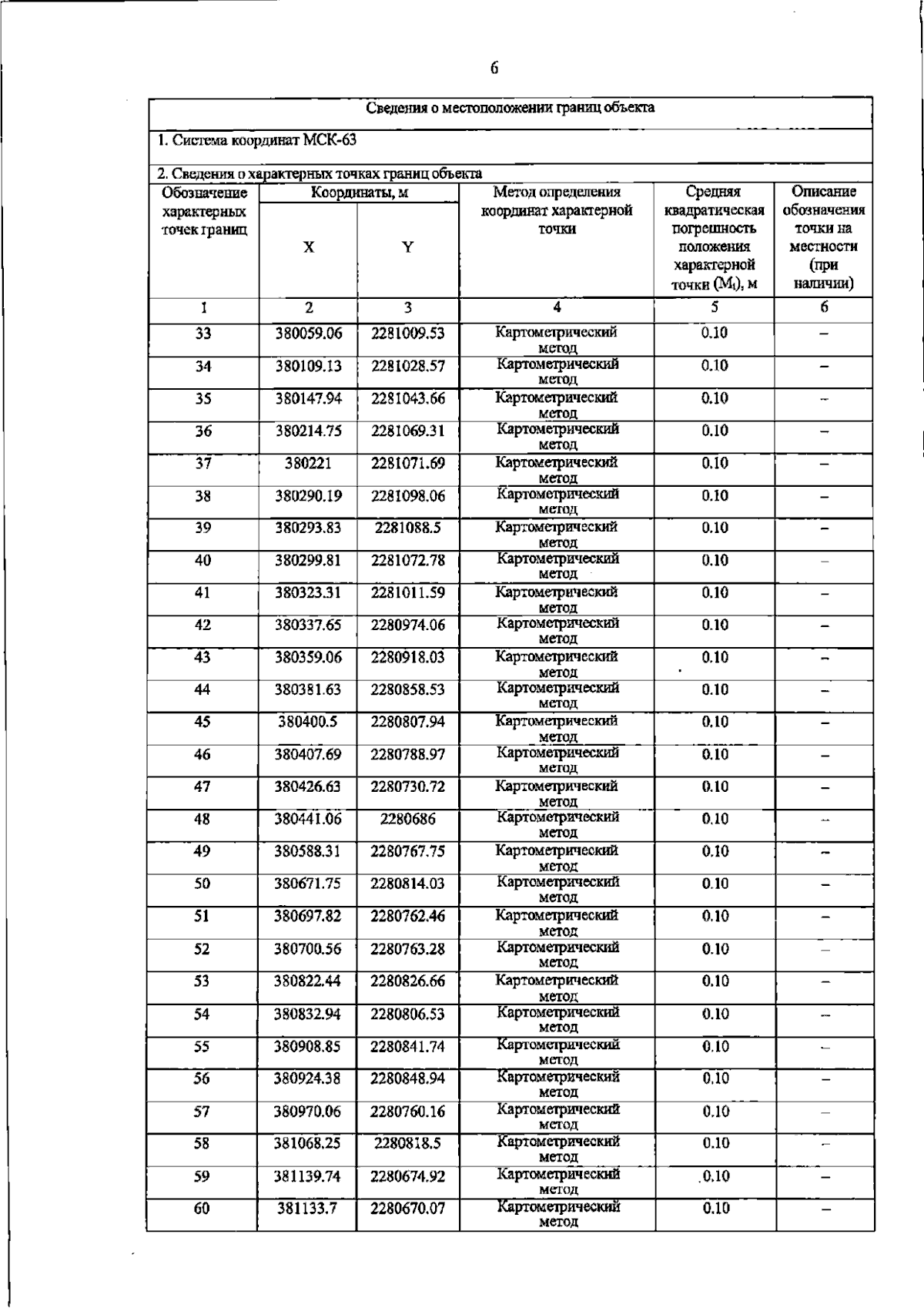
Постановление Правительства Самарской области от 16.02.2026 № 67
"О внесении изменений в Генеральный план сельского поселения Долматовка муниципального района Борский Самарской области"
Номер опубликования: 6300202602180002
Дата опубликования: 18.02.2026
Страница №36 из 53:
Увеличить