Официальное опубликование правовых актов
ОФИЦИАЛЬНОЕ ОПУБЛИКОВАНИЕ
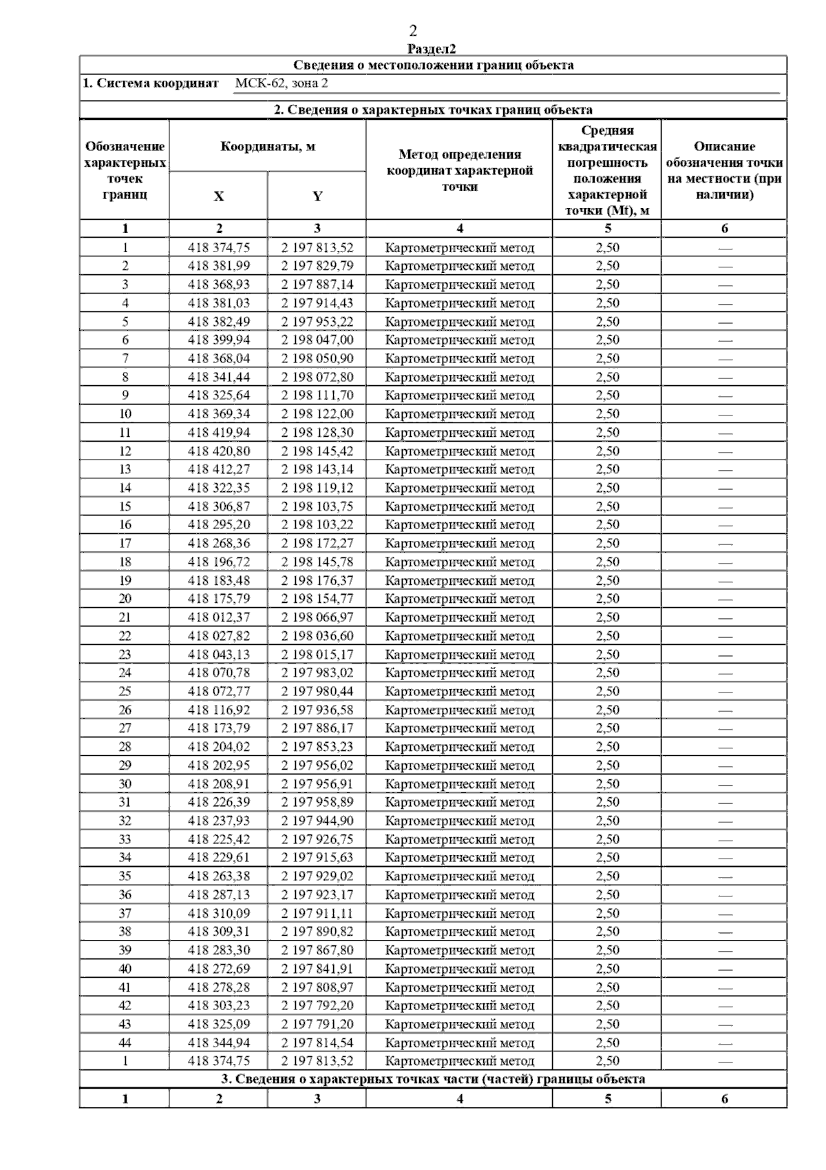
Постановление Главного управления архитектуры и градостроительства Рязанской области от 15.12.2025 № 1114-п
"О внесении изменений в правила землепользования и застройки муниципального образования – Санское сельское поселение Шиловского муниципального района Рязанской области применительно к населенным пунктам с. Юшта, с. Федосеево-Пустынь"
(Зарегистрирован 16.12.2025 № 1705)
Номер опубликования: 6201202512180002
Дата опубликования: 18.12.2025
Страница №7 из 8:
Увеличить