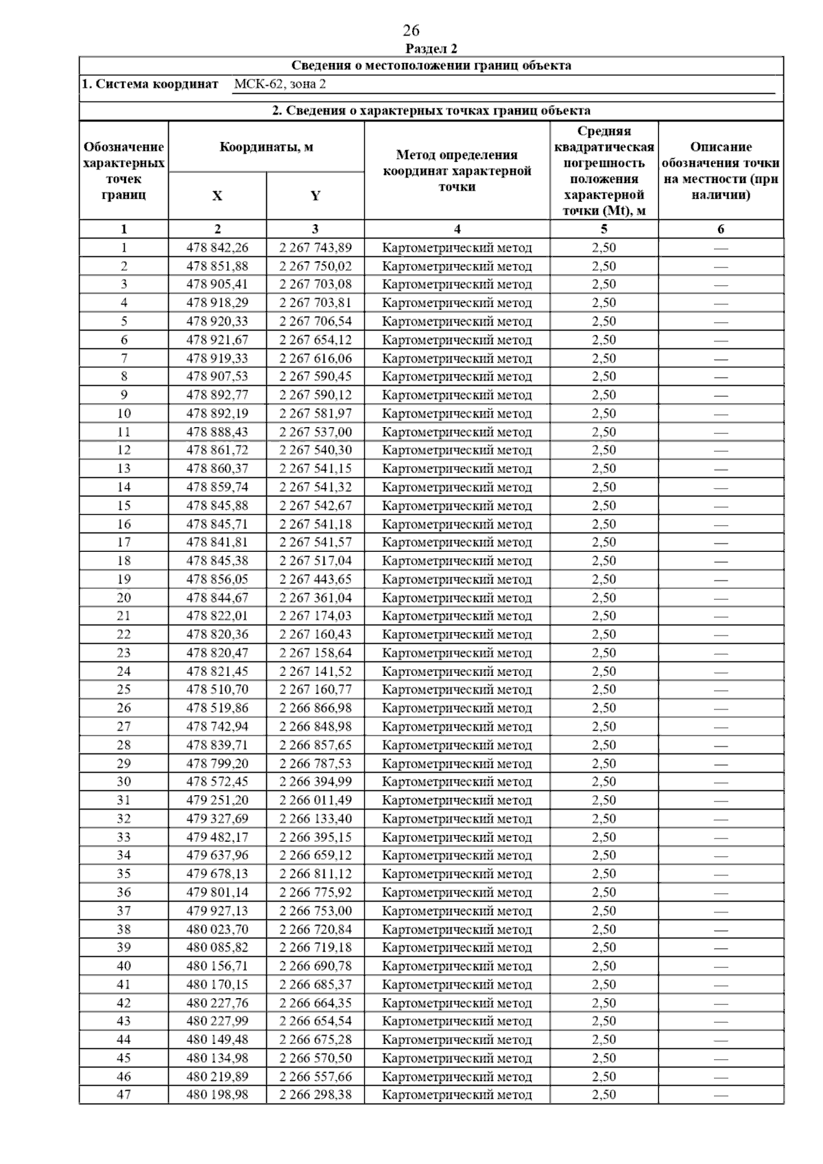
Постановление Главного управления архитектуры и градостроительства Рязанской области от 30.10.2025 № 945-п
"Об утверждении генерального плана муниципального образования - Касимовский муниципальный округ Рязанской области применительно к территориям р.п. Елатьма, п. Ласинский, п. Марсевский, п. Центрального отделения совхоза "Маяк", п. Черновский с прилегающей территорией в кадастровых кварталах 62:04:2230101 и 62:04:2230201, за исключением территории, расположенной в границах Ардабьевского, Савостьяновского и Ермоловского сельских округов"
(Зарегистрирован 31.10.2025 № 1342)
"Об утверждении генерального плана муниципального образования - Касимовский муниципальный округ Рязанской области применительно к территориям р.п. Елатьма, п. Ласинский, п. Марсевский, п. Центрального отделения совхоза "Маяк", п. Черновский с прилегающей территорией в кадастровых кварталах 62:04:2230101 и 62:04:2230201, за исключением территории, расположенной в границах Ардабьевского, Савостьяновского и Ермоловского сельских округов"
(Зарегистрирован 31.10.2025 № 1342)
Номер опубликования: 6201202511050004
Дата опубликования:
05.11.2025
